Главная Случайная страница


Полезное:

Как сделать разговор полезным и приятным Как сделать объемную звезду своими руками Как сделать то, что делать не хочется? Как сделать погремушку Как сделать так чтобы женщины сами знакомились с вами Как сделать идею коммерческой Как сделать хорошую растяжку ног? Как сделать наш разум здоровым? Как сделать, чтобы люди обманывали меньше Вопрос 4. Как сделать так, чтобы вас уважали и ценили? Как сделать лучше себе и другим людям Как сделать свидание интересным?


Категории:

АрхитектураАстрономияБиологияГеографияГеологияИнформатикаИскусствоИсторияКулинарияКультураМаркетингМатематикаМедицинаМенеджментОхрана трудаПравоПроизводствоПсихологияРелигияСоциологияСпортТехникаФизикаФилософияХимияЭкологияЭкономикаЭлектроника






Определение траектории, скорости и ускорения точки при координатном способе задания движения





Пусть движение точки задано уравнениями движения в декартовых координатах: .

Для каждого момента времени t по этим уравнениям можно определить координаты точки в этот момент и указать ее положение в пространстве. Придавая t всевозможные значения, получим множество положений движущейся точки в пространстве — ее траекторию. Следовательно, уравнения движения одновременно являются уравнениями траектории точки в параметрической форме, причем параметром служит время t.

Чтобы получить уравнение траектории в виде зависимости между координатами точки, достаточно из уравнений движения исключить время.

Пример 1.

Движение точки задано уравнениями , у (х, у - в сантиметрах, t - в секундах). Найти уравнение траектории точки в координатной форме.

Для определения уравнения траектории из уравнений движения исключаем время t. Для этого из первого уравнения выражаем

и подставляем это значение во второе уравнение, преобразованное к функциям одинарного угла:

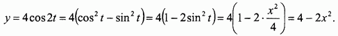
Опуская промежуточные выражения, получаем уравнение траектории

Уравнение определяет параболу, расположенную симметрично относительно оси у, с вершиной в точке (0,4). Траекторией служит кусок этой параболы, заключенный между точками с координатами и (рис. 80).

Пример 2.

Определить уравнение траектории, если точка движется согласно уравнениям ( в сантиметрах, t - в секундах):

Для исключения времени t из уравнений движения выразим из этих уравнений и :

Возводя эти равенства в квадрат и почленно складывая, получаем уравнение траектории в координатной форме:

Это уравнение эллипса с центром в точке А (2,3) и с полуосями , (рис. 81). Траекторией служит вся кривая эллипса.

Рис. 80.

Рис. 81.

Рис. 82

Займемся теперь определением скорости и ускорения.

Зная уравнения движения точки, можно выразить в функции времени радиус-вектор точки (рис. 82):

Теперь находим скорость, дифференцируя радиус-вектор по времени:

При дифференцировании учитывается, что оси Oxyz неподвижны, поэтому координатные орты являются постоянными векторами, и их производные равны нулю.

Полученная формула определяет скорость точки в виде разложения по координатному базису . Так как коэффициенты при ортах равны проекциям скорости на соответствующие координатные оси, отсюда следуют формулы

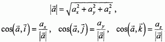
По известным проекциям находим модуль и направляющие косинусы скорости:

Аналогичным образом определяется и ускорение. Дифференцируя выражение для вектора скорости, получаем:

Откуда для проекций ускорения следуют формулы

Проекции ускорения можно выразить также через проекции скорости:

Модуль и направляющие косинусы ускорения выражаются равенствами

Пример.

Точка движется в плоскости согласно уравнениям

где заданы в сантиметрах, время в секундах, а величины - заданные постоянные. Найти скорость иускорение точки в момент, когда она впервые после начала движения пересекает ось х.

Скорость и ускорение находим, вычисляя их проекции на координатные оси. Сначала это сделаем для произвольного момента :

Когда точка находится на оси х, выполняется равенство . Подставляя это значение во второе уравнение движения и решая полученное уравнение относительно находим

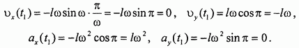
Момент соответствует началу движения, а первое после начала движения пересечение оси происходит при . Подставляя это значение в предыдущие формулы, найдем

Таким образом, в расчетный момент времени скорость и ускорение имеют модули

и направляющие косинусы

На рис. 83 показана геометрическая картина движения. Траекторией точки служит окружность радиуса с центром в точке С (1,0). Подставляя в уравнения движения находим, что в начальный момент точка находится в положении .

Придавая времени t малое положительное значение и определяя знаки координат х, у, получаем из чего следует, что точка движется из положения против хода часовой стрелки. В расчетный момент она находится в начале координат, имея скорость и ускорение .







Date: 2015-07-27; view: 766; Нарушение авторских прав



mydocx.ru - 2015-2026 year. (0.258 sec.) Все материалы представленные на сайте исключительно с целью ознакомления читателями и не преследуют коммерческих целей или нарушение авторских прав - Пожаловаться на публикацию