Главная Случайная страница


Полезное:

Как сделать разговор полезным и приятным Как сделать объемную звезду своими руками Как сделать то, что делать не хочется? Как сделать погремушку Как сделать так чтобы женщины сами знакомились с вами Как сделать идею коммерческой Как сделать хорошую растяжку ног? Как сделать наш разум здоровым? Как сделать, чтобы люди обманывали меньше Вопрос 4. Как сделать так, чтобы вас уважали и ценили? Как сделать лучше себе и другим людям Как сделать свидание интересным?


Категории:

АрхитектураАстрономияБиологияГеографияГеологияИнформатикаИскусствоИсторияКулинарияКультураМаркетингМатематикаМедицинаМенеджментОхрана трудаПравоПроизводствоПсихологияРелигияСоциологияСпортТехникаФизикаФилософияХимияЭкологияЭкономикаЭлектроника






Решение задач статики при учете сил трения





Общие правила решения задач на равновесие с учетом сил трения остаются теми же самыми, что и при отсутствии трения. Некоторое отличие состоит только в том, что в уравнения равновесия будут входить, наряду с нормальными реакциями, также и силы трения шероховатых связей. Это увеличивает общее число неизвестных, так как силы трения покоя заранее неизвестны. В результате задача статики, будучи статически определенной при гладких связях, может оказаться при учете трения статически неопределенной.

Если рассматривать не произвольное, а предельное состояние равновесия системы с трением, то число неизвестных уменьшается - в этом случае все или некоторые силы трения принимают свои максимальные значения и могут быть выражены при помощи закона Кулона:

Здесь - число всех связей (контактов) с трением, - число связей в состоянии предельного равновесия, — соответствующие коэффициенты трения и нормальные реакции. В задачах с трением качения то же самое можно сказать относительно моментов трения качения.

При определении направления сил трения и моментов трения руководствуются физическими соображениями.

Пример.

Исследовать равновесие стержня АВ весом Р, удерживаемого силами трения под углом к вертикали (рис. 68). Стержень однородный, коэффициент трения покоя между стержнем и стенкой между стержнем и полом .

Прикладываем к стержню действующие силы - вес Р, нормальные реакции связей , силы трения , . Это плоская произвольная система сил, следовательно, мы можем составить для стержня три независимых уравнения равновесия.

Рис. 68.

Обозначив для удобства длину стержня , запишем эти уравнения в следующем виде:

При произвольном а в этих уравнениях содержатся четыре неизвестные - . Следовательно, задача не имеет однозначного решения (является статически неопределенной).

Ситуация меняется, если рассматривать значение , соответствующее предельному равновесию. В этом случае для сил трения справедливы равенства

Подставляя их и значение в написанные уравнения равновесия и разделив все члены третьего уравнения на , приходим к следующим уравнениям предельного равновесия стержня:

В этой системе три уравнения и три неизвестные - , что открывает возможность для получения однозначного решения.

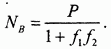
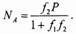
Из первого уравнения имеем

Подставляя это значение во второе уравнение, получим

После этого определяется и реакция :

Подставляя найденные значения реакций в третье уравнение, находим :

При углах наклона, больших , равновесие невозможно - стержень соскальзывает под действием силы тяжести.

При стержень находится в равновесии. Однако положения равновесия при уже не будут предельными, и найденные значения реакций на эти положения не распространяются. В этих положениях задача остается статически неопределенной.

Таким образом, стержень имеет бесконечное множество непрерывно расположенных положений равновесия. Соответствующий им интервал значений угла определяет область равновесия.

Если трения нет область равновесия стягивается в точку - покой становится возможным только для вертикально поставленного стержня. Эта ситуация сохраняется и в случае . Поэтому поддержание равновесия в наклонном положении за счет шероховатости стенки невозможно (даже при очень больших значениях ).







Date: 2015-07-27; view: 547; Нарушение авторских прав



mydocx.ru - 2015-2026 year. (0.094 sec.) Все материалы представленные на сайте исключительно с целью ознакомления читателями и не преследуют коммерческих целей или нарушение авторских прав - Пожаловаться на публикацию