Главная Случайная страница


Полезное:

Как сделать разговор полезным и приятным Как сделать объемную звезду своими руками Как сделать то, что делать не хочется? Как сделать погремушку Как сделать так чтобы женщины сами знакомились с вами Как сделать идею коммерческой Как сделать хорошую растяжку ног? Как сделать наш разум здоровым? Как сделать, чтобы люди обманывали меньше Вопрос 4. Как сделать так, чтобы вас уважали и ценили? Как сделать лучше себе и другим людям Как сделать свидание интересным?


Категории:

АрхитектураАстрономияБиологияГеографияГеологияИнформатикаИскусствоИсторияКулинарияКультураМаркетингМатематикаМедицинаМенеджментОхрана трудаПравоПроизводствоПсихологияРелигияСоциологияСпортТехникаФизикаФилософияХимияЭкологияЭкономикаЭлектроника






Определение траектории, скорости и ускорения точки при векторном способе задания движения





Пусть движение точки М задано векторным способом, то есть задан радиус-вектор точки как функция времени

Линия, описываемая концом переменного вектора, начало которого находится в заданной неподвижной точке, называется годографом этого вектора. Отсюда и из определения траектории следует правило: траектория точки есть годограф ее радиуса-вектора.

Пусть в некоторый момент t точка занимает положение М и имеет радиус-вектор , а в момент - положение и радиус-вектор (рис. 78).

Вектор , соединяющий последовательные положения точки в указанные

Рис. 78.

моменты, называется вектором перемещения точки за время . Вектор перемещения следующим образом выражается через значения вектор-функции (5):

Если вектор перемещения поделить на величину промежутка , получим вектор средней скорости точки за время

Будем теперь уменьшать промежуток , устремляя его к нулю. Предел, к которому стремится вектор средней скорости при неограниченном уменьшении промежутка , называется скоростью точки в момент t или просто скоростью точки 0. В соответствии со сказанным для скорости получаем:

Итак, вектор скорости точки равен производной по времени от ее радиуса-вектора:

Поскольку секущая в пределе (при ) переходит в касательную , приходим к выводу, что векторскорости направлен по касательной к траектории в сторону движения точки.

В общем случае скорость точки также переменна, и можно интересоваться быстротой изменения скорости. Скорость изменения скорости называется ускорением точки.

Для определения ускорения а выберем какую-либо неподвижную точку А и будем откладывать из нее векторскорости и в различные моменты времени.

Линия, которую опишет конец N вектора скорости, представляет собой годограф скорости (рис. 79). Изменение вектора скорости выражается в том, что геометрическая точка N движется по годографу скорости, а скорость этого движения служит, по определению, ускорением точки М.

Рис. 79.

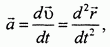
Применив для переменного вектора все те рассуждения, которые были использованы выше для переменного вектора , для ускорения получаем:

или, при обозначении производной по времени точкой:

Формулы (6) - (8) являются наиболее общими формулами кинематики для определения скорости и ускорения.







Date: 2015-07-27; view: 633; Нарушение авторских прав



mydocx.ru - 2015-2026 year. (0.723 sec.) Все материалы представленные на сайте исключительно с целью ознакомления читателями и не преследуют коммерческих целей или нарушение авторских прав - Пожаловаться на публикацию