Главная Случайная страница


Полезное:

Как сделать разговор полезным и приятным Как сделать объемную звезду своими руками Как сделать то, что делать не хочется? Как сделать погремушку Как сделать так чтобы женщины сами знакомились с вами Как сделать идею коммерческой Как сделать хорошую растяжку ног? Как сделать наш разум здоровым? Как сделать, чтобы люди обманывали меньше Вопрос 4. Как сделать так, чтобы вас уважали и ценили? Как сделать лучше себе и другим людям Как сделать свидание интересным?


Категории:

АрхитектураАстрономияБиологияГеографияГеологияИнформатикаИскусствоИсторияКулинарияКультураМаркетингМатематикаМедицинаМенеджментОхрана трудаПравоПроизводствоПсихологияРелигияСоциологияСпортТехникаФизикаФилософияХимияЭкологияЭкономикаЭлектроника






Метод разбиения





Он состоит в том, что рассматриваемое тело мысленно разбивается на части, центры тяжести которых известны либо легко могут быть определены, после чего применяются формулы для определения координат центра системы параллельных сил

В этих формулах и - веса и координаты центров тяжести выделенных частей тела.

Для однородных тел в этих формулах вместо весов можно использовать пропорциональные им величины - объемы (для пространственных тел), площади (для плоских и поверхностных тел), длины (для одномерных тел).

Пример.

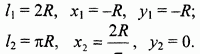
Найти центр тяжести детали из тонкой однородной проволоки, изображенной на рис. 61. Принять BD=АВ.

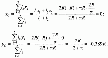
Видно, что деталь может быть разбита на два простых тела - прямолинейный стержень BD длиной 2R (тело 1) и половинку кольца (полуокружность АВ) радиуса R (тело 2). Выбираем оси координат, определяем длины и координаты центров тяжести выделенных частей детали:

Далее по формулам способа разбиения, в которых веса заменены в данном случае длинами, вычисляем координаты центра тяжести детали:

По найденным координатам строим точку С на чертеже. Следует иметь в виду, что центр тяжести может оказаться вне пределов самого тела. Тогда следует считать, что он жестко присоединен к телу.

Способ разбиения распространяется и на тела, содержащие вырезы и пустоты. В этом случае величины (или пропорциональные им ), относящиеся к пустотам и вырезам, следует считать отрицательными, а сам способ называется способом отрицательных масс.

Рис. 61.

Пример.

Определить положение центра тяжести плоской шайбы с прямоугольным вырезом (рис. 62).

Тело симметрично относительно оси , откуда сразу следует, что . Для определения шайбу считаем состоящей из двух тел - сплошного круга радиуса R с центром в начале координат (тело 1) и прямоугольника со сторонами 2а, 2b и отрицательной площадью (тело 2). Вычисляем нужные величины:

и определяем абсциссу центра тяжести шайбы:

Рис. 62.







Date: 2015-07-27; view: 520; Нарушение авторских прав



mydocx.ru - 2015-2026 year. (1.055 sec.) Все материалы представленные на сайте исключительно с целью ознакомления читателями и не преследуют коммерческих целей или нарушение авторских прав - Пожаловаться на публикацию