Главная Случайная страница


Полезное:

Как сделать разговор полезным и приятным Как сделать объемную звезду своими руками Как сделать то, что делать не хочется? Как сделать погремушку Как сделать так чтобы женщины сами знакомились с вами Как сделать идею коммерческой Как сделать хорошую растяжку ног? Как сделать наш разум здоровым? Как сделать, чтобы люди обманывали меньше Вопрос 4. Как сделать так, чтобы вас уважали и ценили? Как сделать лучше себе и другим людям Как сделать свидание интересным?


Категории:

АрхитектураАстрономияБиологияГеографияГеологияИнформатикаИскусствоИсторияКулинарияКультураМаркетингМатематикаМедицинаМенеджментОхрана трудаПравоПроизводствоПсихологияРелигияСоциологияСпортТехникаФизикаФилософияХимияЭкологияЭкономикаЭлектроника






Центр тяжести





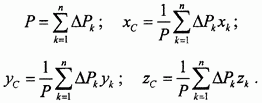
На тело, находящееся вблизи поверхности Земли, действует распределенная сила тяжести - веса частиц тела, направленные вертикально вниз. Мысленно разбивая тело на произвольным образом выделенные части, получим пространственную систему односторонне направленных параллель ных сил , где - число частей разбиения. Равнодействующая P этих сил называется весом тела, а точка приложения С веса тела - центром тяжести тела (рис. 58).

Применяя формулы для определения равнодействующей параллельных сил, для веса и координат центра тяжести тела получим:

Рис. 58.

В этих формулах - координаты точек приложения сил .

Из полученных формул, в частности, вытекает следующая теорема о положении центра тяжести симметричного тела. Если однородное тело имеет плоскость, ось или центр симметрии, то центр тяжести тела лежит соответственно в этой плоскости, на этой оси, в этом центре. Предлагаем провести соответствующее доказательство самостоятельно.







Date: 2015-07-27; view: 433; Нарушение авторских прав



mydocx.ru - 2015-2026 year. (0.307 sec.) Все материалы представленные на сайте исключительно с целью ознакомления читателями и не преследуют коммерческих целей или нарушение авторских прав - Пожаловаться на публикацию