Главная Случайная страница


Полезное:

Как сделать разговор полезным и приятным Как сделать объемную звезду своими руками Как сделать то, что делать не хочется? Как сделать погремушку Как сделать так чтобы женщины сами знакомились с вами Как сделать идею коммерческой Как сделать хорошую растяжку ног? Как сделать наш разум здоровым? Как сделать, чтобы люди обманывали меньше Вопрос 4. Как сделать так, чтобы вас уважали и ценили? Как сделать лучше себе и другим людям Как сделать свидание интересным?


Категории:

АрхитектураАстрономияБиологияГеографияГеологияИнформатикаИскусствоИсторияКулинарияКультураМаркетингМатематикаМедицинаМенеджментОхрана трудаПравоПроизводствоПсихологияРелигияСоциологияСпортТехникаФизикаФилософияХимияЭкологияЭкономикаЭлектроника






Распределенные силы





Частным случаем параллельных сил служат распределенные силы. В отличие от силы, приложенной в одной точке и называемой сосредоточенной силой, распределенная сила приложена в каждой точке некоторой линии, поверхности или объема. Распределенная сила характеризуется своей интенсивностью - величиной силы, приходящейся на единицу длины, площади или объема.

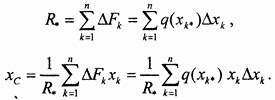
Пусть имеем распределенную силу, действующую на отрезке оси и пусть - ее интенсивность (рис. 56, а). Мысленно разобьем отрезок на n произвольных элементарных участков и вычислим силу, действующую на каждый участок, по формуле

где - длина cooветствующего участка, а - абсцисса точки, произвольно с взятой внутри или на границе соответствующего интервала. В результате получим систему параллельных сил, приложенных в точках с абсциссами , и направленных в одну сторону. Такая система сил всегда имеет равнодействующую. Величина и точка приложения С равнодействующей, в соответствии с полученными выше результатами, будут определяться выражениями (приближенно):

Устремляя в этих формулах число отрезков разбиения n к бесконечности и переходя к пределу, приходим к следующим точным формулам, определяющим величину и точку приложения равнодействующей распределенной силы (рис. 56, б):

Рис. 56.

Если , то имеем равномерно распределенную силу. Используя полученные формулы, для нее получаем (рис. 57, а):

Для силы, распределенной по закону треугольника (рис. 57, б), будем иметь:

При решении задач статики распределенные силы удобно заменять их равнодействующими.

Рис. 57.







Date: 2015-07-27; view: 643; Нарушение авторских прав



mydocx.ru - 2015-2026 year. (0.337 sec.) Все материалы представленные на сайте исключительно с целью ознакомления читателями и не преследуют коммерческих целей или нарушение авторских прав - Пожаловаться на публикацию