Главная Случайная страница


Полезное:

Как сделать разговор полезным и приятным Как сделать объемную звезду своими руками Как сделать то, что делать не хочется? Как сделать погремушку Как сделать так чтобы женщины сами знакомились с вами Как сделать идею коммерческой Как сделать хорошую растяжку ног? Как сделать наш разум здоровым? Как сделать, чтобы люди обманывали меньше Вопрос 4. Как сделать так, чтобы вас уважали и ценили? Как сделать лучше себе и другим людям Как сделать свидание интересным?


Категории:

АрхитектураАстрономияБиологияГеографияГеологияИнформатикаИскусствоИсторияКулинарияКультураМаркетингМатематикаМедицинаМенеджментОхрана трудаПравоПроизводствоПсихологияРелигияСоциологияСпортТехникаФизикаФилософияХимияЭкологияЭкономикаЭлектроника






Центр параллельных сил





Пусть дана система параллельных сил с отличным от нуля главным вектором R. Как следует из предыдущей лекции, такая система сил приводится к равнодействующей , равной

Будем считать, что точки приложения сил фиксированы. Тогда равнодействующая также будет иметь вполне определенную точку приложения С, называемую центром данной системы параллельных сил. Выведем формулы, определяющие положение этого центра.

Пусть точка О - произвольно выбранная точка отсчета, - проведенные из точки О радиусы-векторы точек приложения сил, - радиус-вектор центра параллельных сил, - единичный вектор общего направления сил (рис. 55). В силу параллельности векторы сил и вектор их равнодействующей могут быть записаны в следующем виде:

где величины обозначают алгебраические значения сил, то есть взятые со знаком "+" или "-" модули сил. Знак берется в случае, когда сила и вектор направлены в одну сторону, знак , если эти направления противоположны.

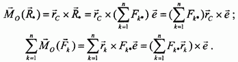
Для определения положения центра параллельных сил воспользуемся теоремой Вариньона, согласно которой имеем равенство:

Рис. 55.

Вспоминая выражение для момента силы относительно точки и свойства векторного произведения, представим левую и правую части равенства в следующем виде:

После этого равенство примет вид

Вторые сомножители в левой и правой частях равенства одинаковы, следовательно, будут равны и первые сомножители:

Отсюда следует формула

определяющая положение точки С - центра параллельных сил.

Заметим, что вектор , задающий общее направление сил, не входит в полученное выражение. Это означает, что центр параллельных сил не зависит от направления сил, а зависит только от их алгебраических значений и точек приложения.

Выберем с началом в точке О декартову систему координатных осей Oxyz. Проектируя обе части полученной векторной формулы на выбранные оси, получим выражения для координат центра параллельных сил:

Если все силы направлены в одну сторону, то величины либо все равны , либо все равны . В этом случае формулы упрощаются:

Здесь - просто модули сил.







Date: 2015-07-27; view: 561; Нарушение авторских прав



mydocx.ru - 2015-2026 year. (0.267 sec.) Все материалы представленные на сайте исключительно с целью ознакомления читателями и не преследуют коммерческих целей или нарушение авторских прав - Пожаловаться на публикацию