Главная Случайная страница


Полезное:

Как сделать разговор полезным и приятным Как сделать объемную звезду своими руками Как сделать то, что делать не хочется? Как сделать погремушку Как сделать так чтобы женщины сами знакомились с вами Как сделать идею коммерческой Как сделать хорошую растяжку ног? Как сделать наш разум здоровым? Как сделать, чтобы люди обманывали меньше Вопрос 4. Как сделать так, чтобы вас уважали и ценили? Как сделать лучше себе и другим людям Как сделать свидание интересным?


Категории:

АрхитектураАстрономияБиологияГеографияГеологияИнформатикаИскусствоИсторияКулинарияКультураМаркетингМатематикаМедицинаМенеджментОхрана трудаПравоПроизводствоПсихологияРелигияСоциологияСпортТехникаФизикаФилософияХимияЭкологияЭкономикаЭлектроника






Аминотиазол





Получается при взаимодействии тиомочевины с α,β-дихлорэтиловым эфиром.

Важное значение имеет 2-аминотиазол как полупродукт в синтезе лекарственных препаратов. 2-Аминотиазол проявляет более выраженные основные свойства по сравнению с тиазолом. Центром основности по-прежнему остается циклический атом азота, так как пара электронов NH2-группы сопряжена с ароматической системой.

Алкилирование протекает по циклическому атому азота, а реакции ацилирования — по аминогруппе. 2-Аминотиазол вступает в реакцию диазотировании. 2-Аминотиазол широко используется в производстве лекарственных препаратов. Производными 2-аминотиазола являются сульфаниламидные препараты норсульфазол и фталазол, которые обладают антимикробным действием. Особую значимость имеет также продукт полного восстановления тиазола — тиазолидин, который входит в состав антибиотиков пеницилин и нового ряда общей формулы.


Номенклатура шестичленних гетероциклів з одним гетероатомом. Властивості гетероциклів групи пірану. α-,γ-Пірони. Солі пірилію. Конденсовані похідні піронів — кумарин, флавон, ізофлавон

Для большинства гетероциклических соединений применяются тривиальные названия. При нумерации положений в кольце гетероатом обычно получает меньший номер. Иногда для обозначения атомов используют греческие буквы. Если в конденсированных системах гетероатом не находится рядом с местом конденсации циклов, нумерация начинается с ближайшего к месту конденсации атома, при этом гетероатом приобретает наименьший номер.

ПИРОНЫ (кетопираны, оксопираны)

Различают a-пирон (2H-пиран-2-он, кумалин; ф-ла I) и g-пирон (4H-пиран-4-он, пирокоман; II). a-Пирон -бесцв. жидкость с запахом свежего сена; слабое основание, под действием сильных к-т протонируется по атому О цикла.

g-Пирон -бесцв. кристаллы;; слабое основание, при протонировании образует гидролизую-щиеся соли, напр. гидрохлорид, пикрат.

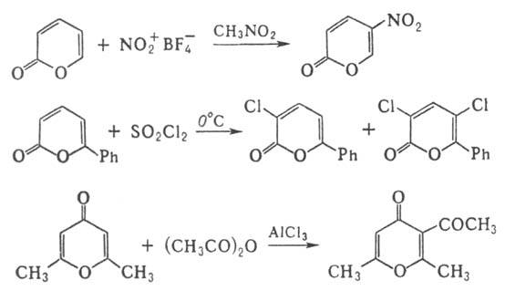
В молекулах пиронов p-электроны двойных связей цикла дело-кализованы и находятся в сопряжении с неподеленной электронной парой атома О цикла и карбонильной группой. Электроф. замещение в пиронах происходит по положениям 3 и 5, напр.:

a-Пирон и его производные обладают св-вами непредельных d-лактонов и легко вступают в р-ции нуклеоф. замещения, к-рые обычно сопровождаются раскрытием цикла, напр, легко гидролизуются в присут. щелочей по связи С—О цикла:

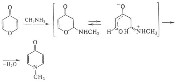
При действии NH3 или первичных аминов a- и g-пироны превращ. в пиридоны, напр.:

Гидрирование a-пирона и его производных в присут. Pd/С приводит к насыщ. d-лактонам (тетрагидро-2-пиранонам) с небольшой примесью продуктов гидрогенолиза, гидрирование g-пирона и его производных-к продуктам полного восстановления - 4-гидрокситетрагидропиранам. a-Пирон легко вступает в диеновый синтез, при УФ облучении количественно изомеризуется:

g-Пирон и его производные в отличие от a,b-ненасыщ. кетонов с трудом вступают в р-ции присоединения и, как правило, не образуют производных по карбонильной группе (оксимов, фенилгидразонов, оснований Шиффа). Для них характерна способность под действием HClO4 или ее производных превращ. в соли пирилия, напр.:

 

Получают a- и g-пироны декарбоксилированием в присут. меди соотв. кумалиновой (ф-ла III) и хелидоновой (IV) к-т; последние синтезируют по р-циям циклоконденсации. Аналогично получают и производные пиронов, напр.: 2,6-Диметил- g-пирон м. б. получен из уксусного ангидрида по р-ции: Пироны-структурные фрагменты нек-рых алкалоидов, стероидов, стимулирующих сердечную деятельность, флавоноидов буфотоксина, ксантона и др.

ПИРИЛИЯ СОЛИ (соли пироксония), содержат в молекуле катион пирилия структуры I.

Для пирилия солей, как и для бензопирилия солей, характерны р-ции с нуклеофилами; взаимод. с электрофилами по гетерокольцу неизвестно. Среди превращений пирилия солей различают р-ции с сохранением пиранового кольца, его раскрытием, а также р-ции рециклизации с образованием новых циклич. систем. Р-ции первого типа включают превращ. заместителей, связанных с пирилиевым кольцом (напр., де-карбоксилирование, конденсация, замещение и др.), и присоединение нуклеоф. агентов в положения 2, 4 и 6 с образованием a- или g-аддуктов либо продуктов их окисления. Р-ции с раскрытием цикла, характерные для a-аддуктов, протекают, как правило, через нестабильные промежут. продукты, к-рые могут подвергаться гидролитич. расщеплению или изомеризоваться, напр.:

Рециклизация пирилия солей с вовлечением присоединившегося нуклеофила или имеющегося в цикле заместителя может происходить с образованием 5-7-членных гетеро- и кар-боциклов. Пятичленные гетероциклы образуются, напр., при окислении пирилия солей или их взаимод. с 1,2-бифункцион. нуклеофилами:


 

 

Образование нового шестичленного гетероцикла может происходить и с изменением глеродного скелета:

Формирование карбоциклич. шестичленных соед. осуществляется в р-циях с СН-кислотами и при взаимод. a-алкилзамещенных пирилия солей со щелочами или вторичными аминами:

Образование семичленных соед. наблюдается в р-циях пирилия солей, напр., с азидами и гидразином:

Для пирилия солей характерны фотоперегруппировки, напр.:

Пирилия соли синтезируют из соед., содержащих пирановый цикл, или конденсационными методами - ацилированием олефинов или метил(метилен)кетонов, конденсацией метолкето-нов с альдегидами, дикетонами, ортоэфирами, ацеталями, напр.:

Пирилия соли-промежут. продукты в орг. синтезе, фотосенсибилизаторы, ингибиторы коррозии, фото- и термохромные соединения.

 

Кумарин представляет собой конденсированную систему, состоящую из бензольного и пиронового ядра. По строению он является лактоном цисогидроксикоричной кислоты (кумариновой кислоты).

Синтетический кумарин получают по реакции Перкина из салицилового альдегида. Химические свойства кумарина обусловлены бензольного колец. При нагревании со щелочами образуется соль о-гидроксикоричной кислоты, при подкислении которой происходит быстрая рециклизация в кумарин. По бензольному кольцу кумарин вступает в реакции электрофиль ного замещения (нитрование, сульфирование) по положению 6. На основе производных кумарина созданы лекарственные препараты, проявляющие антикоагулянтную активность. — неоликумарин. фепромарон, синкумар и др.

Флавон (2-фенил-4-хроменон, a -фенилхромон).

В конц. H2SO4 раств. с фиолетовой флуоресценцией, образуя нестабильную соль бензо-пирилия. При нагр. с алкоголятами флавон образует о-гидроксиацетофенон и бензойную к-ту (р-ция используется для определения строения производных флавона).

В природе выделено св. 500 производных флавона. Осн. методы синтеза производных флавона- конденсация разл. гидроксифенолов с этиловым эфиром ароилуксусной к-ты ArC(O)CH2COOC2H5 при пониженном давлении или нагревание о-гидроксиацетофенона со смесью ангидрида и Na-соли ароматич. карбоновой к-ты.

Изофлавоны — натуральные компоненты, содержащиеся в некоторых растениях, например в сое или красном клевере. Эти вещества относят к группефитоэстрогенов: их структура подобна эстрогенам человека, однако они менее активны. Изофлавоны являются естественной составной частью рациона человека, особенно в странах с высоким потреблением сои. Помимо их широко известной эффективности в борьбе с климактерическим синдромом у женщин (остеопороз, горячие приливы и ночное потение), изофлавоны обладаютметаболическими и антиканцерогенными свойствами, а также благотворно влияют на сердечно-сосудистую систему и кожу.


 







Date: 2015-07-27; view: 2345; Нарушение авторских прав



mydocx.ru - 2015-2026 year. (1.232 sec.) Все материалы представленные на сайте исключительно с целью ознакомления читателями и не преследуют коммерческих целей или нарушение авторских прав - Пожаловаться на публикацию