Главная Случайная страница


Полезное:

Как сделать разговор полезным и приятным Как сделать объемную звезду своими руками Как сделать то, что делать не хочется? Как сделать погремушку Как сделать так чтобы женщины сами знакомились с вами Как сделать идею коммерческой Как сделать хорошую растяжку ног? Как сделать наш разум здоровым? Как сделать, чтобы люди обманывали меньше Вопрос 4. Как сделать так, чтобы вас уважали и ценили? Как сделать лучше себе и другим людям Как сделать свидание интересным?


Категории:

АрхитектураАстрономияБиологияГеографияГеологияИнформатикаИскусствоИсторияКулинарияКультураМаркетингМатематикаМедицинаМенеджментОхрана трудаПравоПроизводствоПсихологияРелигияСоциологияСпортТехникаФизикаФилософияХимияЭкологияЭкономикаЭлектроника






Фурфурол. Добування, хімічні властивості. Синтез фурациліну





Фурфурол (от лат. furfur — отруби) — альдегид, производное фурана. Представляет собой жидкость с запахом свежего ржаного хлеба[1] илиминдаля

По хим. свойствам фурфурол - ароматич. альдегид. В присутствии солей синильной кислоты вступает в бензоиновую конденсацию. образуя фуроин (ф-ла I), который при окислении превращается в фурил (II); последний при нагревании с едкими щелочами перегруппировывается в фуриловую кислоту (III):

Нагревание с растворами щелочей приводит по реакции Канниццаро к смеси фурфурилового спирта и пирослизевой кислоты (V):

Фурфурол легко конденсируется с соединенями, имеющими активные метильные или метиленовые группы по реакции Перкина; так, нагревание с диацетамидом и ацетатом Na при 180 0C дает смесь амида 3-(2-фурил)акриловой кислоты и пирослизевой кислоты. Конденсация фурфурола с фурфуриловым спиртом и др. спиртами, а также с фенолами. кетонами иальдегид.ми приводит к фурановым смолам.

Электрофильное замещение фурфурол идет в положение 5. При хлорировании в присутствии бензоилпероксида инитровании дымящей HNO3 фурфурол превращается соотв. в 5-хлор- и 5-нитропроизводные; взаимод. с HgCl2 приводит к 5-меркурхлориду фурфурола. При действии NH3 в присутствии CH3OH (150-250 С, 20,8 МПа, кат. Со) фурфурол превращается в пиперидин.

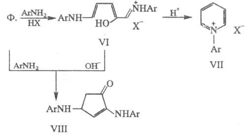
При действии на фурфурол первичных ариламинов в кислой среде происходит раскрытие цикла с образованием соли VI, которая под влиянием кислоты циклизуется в пиридиниевую соль VII, а при действии оснований - в замещенный циклопентенон VIII; последний может быть получен непосредственно при взаимодействии фурфурола с ариламином в отсутствие кислоты:

Одна из особенностей фурфурола - автоокисление с образованием муравьиной и 2-формилакриловой кислот. Окисление фурфурола в различных условиях приводит к расщеплению цикла фурфурола с образованием смеси малеиновой кислоты ималеинового ангидрида (200-400 0C, кат. V2O5), пирослизевой кислоты (50 0C, кат. Ag2O, щелочная среда), смеси 3-гидроксипирослизевой кислоты и 3-гидроксифурфуррла (H2O2, 40 0C), фумаровой кислоты (нагревание с NaClO3, кат. V2O5). При гидрировании на CuO/Cr2O3 (5-10 МПа, 200-250 0C) фурфурол превращается в сильван (2-метилфуран), при 150-170 °С-в фурфуриловый спирт, дальнейшее гидрирование которого над Ni-Ренея при 230-250 0C и 5-10 МПа ведет к тетрагидрофурфуриловому спирту. В присутствии Zn(CrO2)2 фурфурол декарбонилируется в фуран.

Фурфурол получают гидролизом растительного пентозансодержащего сырья (кукурузные початки, овсяная и рисовая шелуха, хлопковые коробочки и др.) разбавленными минер. кислотами с непрерывной отгонкой продукта с паром.

Фуфурол- сырье для синтеза фурана, сильвана, фурфурилового спирта, ТГФ, фурановых смол, лек. средств (напр., фурацилина) и пестицидов, экстрагент при очистке нефти и растит, масел от углеводородов.

Нитрофура́л (фурацилин) — антисептическое средство местного действия. Обладает противомикробным действием. Используется как жидкость для промывания и очищения ран, благодаря своим антисептическим свойствам замедляет или останавливает рост микробной флоры.

Раствор фурацилина в едком натрии окрашивается в оранжево-красный цвет.

Получение фурацилина основано на нитровании фурфурола в смеси уксусного ангидрида и уксусной кислоты. Образовавшийся при этом 5-нитрофурфуролдиацетат гидролизуют и полученный 5-нитрофурфурол конденсируют с солянокислым семикарбазидом.


 







Date: 2015-07-27; view: 2027; Нарушение авторских прав



mydocx.ru - 2015-2026 year. (1.243 sec.) Все материалы представленные на сайте исключительно с целью ознакомления читателями и не преследуют коммерческих целей или нарушение авторских прав - Пожаловаться на публикацию