Главная Случайная страница


Полезное:

Как сделать разговор полезным и приятным Как сделать объемную звезду своими руками Как сделать то, что делать не хочется? Как сделать погремушку Как сделать так чтобы женщины сами знакомились с вами Как сделать идею коммерческой Как сделать хорошую растяжку ног? Как сделать наш разум здоровым? Как сделать, чтобы люди обманывали меньше Вопрос 4. Как сделать так, чтобы вас уважали и ценили? Как сделать лучше себе и другим людям Как сделать свидание интересным?


Категории:

АрхитектураАстрономияБиологияГеографияГеологияИнформатикаИскусствоИсторияКулинарияКультураМаркетингМатематикаМедицинаМенеджментОхрана трудаПравоПроизводствоПсихологияРелигияСоциологияСпортТехникаФизикаФилософияХимияЭкологияЭкономикаЭлектроника






Свойства гиперболических функций





1. Функции определены и непрерывны на плоскости C.

2. Производные функций существуют для любого и

3. Справедливы равенства:

(29.8)

4. Функции th z и cth z определены и непрерывны всюду на плоскости C, кроме нулей знаменателей.

 

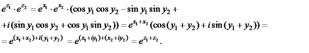
Пример 1. Доказать, что для функции справедлива формула

(29.9)

Решение. Пусть Используя свойства степени и формулу Эйлера, получим:

Далее, перемножая выражения в скобках и используя тригонометрические формулы для косинуса и синуса суммы двух аргументов, получаем:

Равенство (29.9) доказано.

 

Пример 2. Доказать равенство

Решение. Используем определение гиперболического синуса. Тогда

Заданное равенство доказано.

 

Пример 3. Доказать равенство

(29.10)

Решение. Преобразуем правую часть заданного равенства, используя формулы (29.7):

Выражения перемножаем и по формуле (29.7) получаем:

Равенство (29.10) доказано.

 

Пример 4. Найти действительную и мнимую части функции

Решение. Так как то

Используем далее формулу (29.8). Тогда

Значит, для будет

Пример 5. Выяснить, на какое множество точек плоскости функция отображает прямую линию с плоскости

Решение. Рассмотрим три случая таких прямых.

1. Пусть z «пробегает» прямую, параллельную мнимой оси Oy: Тогда т. е. образом такой прямой является окружность радиуса с центром в начале системы координат Ouv. При этом, когда точка z «пробегает» рассматриваемую прямую один раз (координата t непрерывно меняется от до ), то образ w «пробежит» (в положительном направлении) соответствующую окружность бесконечное количество раз.

2. Пусть z «пробегает» прямую, параллельную действительной оси Ox: Тогда т. е. множество образов лежит на луче, который выходит из начала системы координат и образует с осью Ou угол При этом, когда точка z «пробегает» прямую один раз (абсцисса t непрерывно изменяется от до ), то образ w тоже один раз «пробегает» соответствующий луч (расстояние от начала системы координат до точки w непрерывно растет от 0 до ).

3. Пусть z «пробегает» прямую, которая не параллельна координатным осям. Уравнение такой прямой имеет вид где k – угловой коэффициент прямой; b – ордината при Тогда образом такой прямой является кривая

Для точки w, которая лежит на этой кривой (при условии, что ), имеем: Из второго равенства выразив t через и подставив в первое, получим где

Это уравнение логарифмической спирали.

 

Пример 6. Выяснить, на какое множество точек функция

отображает полуполосу

Решение. Обозначим данную в условии полуполосу через d. Согласно восьмой формуле (29.8), для функции имеем Найдем сначала образ луча Очевидно, что он отображается на множество точек Поскольку для имеем то в плоскости образом луча будет луч Г1 Аналогично определим, что интервал отображается на множество которое является интервалом Г1: И наконец, луч преобразуется в множество которое является лучом Г3: Выберем внутреннюю точку полосы Для этой точки получаем следующие значения: – образ принадлежит четвертой координатной четверти. Это значит, что внутренние точки полосы d отображаются на внутренние точки множества D четвертой четверти, причем это взаимно-однозначное отображение.

 







Date: 2015-07-24; view: 633; Нарушение авторских прав



mydocx.ru - 2015-2026 year. (0.085 sec.) Все материалы представленные на сайте исключительно с целью ознакомления читателями и не преследуют коммерческих целей или нарушение авторских прав - Пожаловаться на публикацию