Главная Случайная страница


Полезное:

Как сделать разговор полезным и приятным Как сделать объемную звезду своими руками Как сделать то, что делать не хочется? Как сделать погремушку Как сделать так чтобы женщины сами знакомились с вами Как сделать идею коммерческой Как сделать хорошую растяжку ног? Как сделать наш разум здоровым? Как сделать, чтобы люди обманывали меньше Вопрос 4. Как сделать так, чтобы вас уважали и ценили? Как сделать лучше себе и другим людям Как сделать свидание интересным?


Категории:

АрхитектураАстрономияБиологияГеографияГеологияИнформатикаИскусствоИсторияКулинарияКультураМаркетингМатематикаМедицинаМенеджментОхрана трудаПравоПроизводствоПсихологияРелигияСоциологияСпортТехникаФизикаФилософияХимияЭкологияЭкономикаЭлектроника






Свойства функций, непрерывных в точке и на множестве





1. Если f (z) и g (z) – непрерывные функции в точке то непрерывными в этой точке являются также функции:

2. Пусть есть непрерывная функция на множестве D и она имеет множество значений G, на котором определена непрерывная функция g (w). Тогда сложная функция есть непрерывная функция на множестве D.

3. Пусть множество D является ограниченным и замкнутым, а функция f (z) – непрерывной на D. Тогда f (z) является функцией, ограниченной на множестве D, т. е. и ее модуль достигает на этом множестве своих точных нижней и верхней граней.

Пример 1. Найти действительную и мнимую части функции

Решение. В формулу, которая задает функцию, вместо w подставим а вместо z и получим:

В результате находим

 

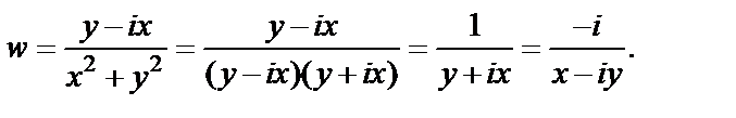
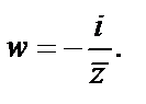
Пример 2. Выразить функцию в виде зависимости от аргумента z, где

Решение. Функция w записана в виде Очевидно, что

Используя понятие сопряженного комплексного числа, приходим к ответу

 

Пример 3. Дано отображение Найти образ линии:

1) 2)

Решение. 1) Выделим действительную и мнимую части функции

Для прямой рассмотрим систему уравнений

из которой находим т. е.

Значит, образом прямой является прямая

2) Для заданной окружности рассмотрим систему уравнений:

из которой получаем

Тогда

Следовательно, образом заданной окружности радиуса 2 с центром в точке является окружность радиуса 4 с центром в точке

 

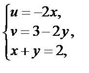
Пример 4. Найти образ прямой при отображении

Решение. Выделим действительную и мнимую части функции и решим полученную систему уравнений для прямой Тогда

Находим:

Тогда

Таким образом, прямая при отображении переходит в параболу

 

Пример 5. Найти образ множества точек, ограниченных прямыми (образ полосы), при отображении

Решение. Изобразим заданную полосу (рис. 29.1, а). Выясним, на какую линию отображается функцией граница Параметрические уравнения этой прямой

где y – параметр. Тогда в комплексном виде линия задается уравнением Поскольку то, используя параметрические уравнения заданной прямой линии, имеем т. е.

 
 
 
х
у
Сz
 
 
 
х
у
Сw
 
а) б)

Рис. 29.1

 

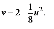
Из последней системы получаем Таким образом, приходим к уравнению параболы Аналогично можно убедиться в том, что прямая отображается функцией на параболу Если взять произвольную прямую (которая параллельна границам и лежит внутри полосы), то ее образ при отображении есть парабола которая лежит между параболами и

Значит, полоса с плоскости ограниченная прямыми и отображается на полосу, ограниченную названными параболами в плоскости (рис. 29.1, б).

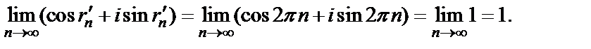
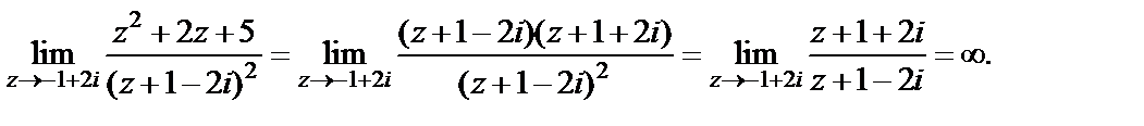
Пример 6. Выяснить, имеет ли функция предел в точке

Решение. Для ответа на поставленный вопрос воспользуемся определением предела по Гейне. Рассмотрим сначала последовательность точек Очевидно, что если Поскольку то Значит,

Возьмем теперь последовательность точек Для нее тоже выполняется если Однако а поэтому Значит,

Мы получили, что для двух последовательностей аргументов и таких, что и при последовательности соответствующих значений функции сходятся к разным числам. Поэтому заданная функция не имеет предела в точке

 

Пример 7. Вычислить предел функции:

1) 2) 3)

Решение. 1) Перейдем к функции двух переменных под знаком предела. Тогда

2) Непосредственный переход к частному пределов приводит к неопределенности типа Поэтому сначала преобразуем выражение, стоящее под знаком предела, а затем вычислим предел:

3) После деления на старшую степень числителя и знаменателя дроби (как это делается для действительных функций) получим

 

Пример 8. Найти предел если:

1) 2) 3)

Решение. Заметим, что и, значит,

1) Рассмотрим

Имеем Тогда

Так как то

2) В этом случае

Покажем, что, несмотря на существование предела не существует предел

Запишем

Используем определение предела по Гейне. Сначала рассмотрим последовательность

Затем рассмотрим последовательность

Таким образом, указаны две последовательности и такие, что

но

Значит, не существует.

3) При имеем

и

Отсюда следует, что

 

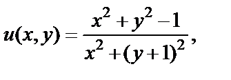
Пример 9. Исследовать на непрерывность функцию:

1) 2)

Решение. 1) Очевидно, что функция определена на всей плоскости Ĉ. Непрерывной она является во всех ее точках, кроме тех, где знаменатель равен нулю, т. е. Иначе говоря, множество точек разрыва функции лежит на окружности радиуса с центром в точке (в этих точках функция принимает значение


2) Для исследования данной функции на непрерывность отделим ее действительную и мнимую части:

Обе функции и являются непрерывными для всех Значит, данная функция непрерывна на всей плоскости C.

 

Пример 10. Доказать, что функция является непрерывной внутри единичного круга

Решение. Пусть – произвольная точка, лежащая внутри круга Обозначим и заметим, что для всех z, удовлетворяющих условию выполняется неравенство

Преобразуем разность

Возьмем произвольное обозначим и положим Тогда для любого z, такого, что будет

т. е.

Непрерывность функции в точке доказана, а поскольку – произвольная точка круга то доказана непрерывность f (z) внутри круга

 

Пример 11. Записать уравнение линии в комплексной форме:

1) 2)

Решение. 1) Это параметрические уравнения окружности радиусом, равным 2, с центром Поскольку то уравнение данной линии можно записать в виде

Воспользуемся формулами Эйлера:

откуда

Из последней записи видно, какой центр имеет окружность и каков ее радиус.

2) Если обе части заданного уравнения поделить почленно на 36, придем к уравнению эллипса

который имеет центр в точке (0; 0). Его параметрические уравнения:

Значит, в комплексной форме это уравнение принимает вид

 

Пример 12. Определить, какую линию на плоскости задает уравнение:

1) 2)

Решение. 1) Сначала запишем уравнение линии в параметрическом виде:

Из первого равенства выразим t через x и подставим в другое:

т. е. Как известно, это есть уравнение параболы.

2) Переходим к параметрическому заданию линии:

Сложив эти равенства, получим что есть уравнение прямой. (Для строгости рассуждений и в первом, и во втором случаях убедитесь в обратном: каждая точка параболы и каждая точка прямой задается соответствующей системой с параметром).

 







Date: 2015-07-24; view: 1202; Нарушение авторских прав



mydocx.ru - 2015-2026 year. (0.967 sec.) Все материалы представленные на сайте исключительно с целью ознакомления читателями и не преследуют коммерческих целей или нарушение авторских прав - Пожаловаться на публикацию