Главная Случайная страница


Полезное:

Как сделать разговор полезным и приятным Как сделать объемную звезду своими руками Как сделать то, что делать не хочется? Как сделать погремушку Как сделать так чтобы женщины сами знакомились с вами Как сделать идею коммерческой Как сделать хорошую растяжку ног? Как сделать наш разум здоровым? Как сделать, чтобы люди обманывали меньше Вопрос 4. Как сделать так, чтобы вас уважали и ценили? Как сделать лучше себе и другим людям Как сделать свидание интересным?


Категории:

АрхитектураАстрономияБиологияГеографияГеологияИнформатикаИскусствоИсторияКулинарияКультураМаркетингМатематикаМедицинаМенеджментОхрана трудаПравоПроизводствоПсихологияРелигияСоциологияСпортТехникаФизикаФилософияХимияЭкологияЭкономикаЭлектроника






Совместное действие внезапных и износовых отказов. Две основные задачи расчета надежности при одновременном действии внезапных и износовых отказов





При работе изделия на участке 3, где начинает сказываться износ, могут иметь места и случайные отказы не вызванные износом. С другой стороны при аппроксимации износовых отказов можно считать, что износовые отказы могут возникать и в период нормальной эксплуатации (2 участок). Практически можно считать, что вероятность отказов элементов есть суммарная вероятность внезапного и износового отказа.

В теории надежности предполагается, что элемент (изделие) состоит из 2-х частей: одна часть подвержена внезапным отказам, другая износовым.

При этом считается элемент отказавшим, если откажет 1 из этих частей. При таком представлении элементов:

, , где Рв - вероятность безотказной работы 1-й части элемента, т.е. вероятность непоявления в этой части внезапных отказов; Ри - вероятность безотказной работы 2-й части элемента, т.е. вероятность непоявления в этой части износовых отказов.

, , ,

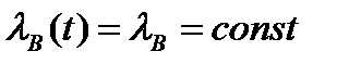
, из (5) следует, что интенсивность отказов элементов в случае временного наличия внезапных отказов и износовых отказов равна сумме интенсивностей внезапных и износовых отказов.

Если внезапные отказы подчиняются экспоненциальному закону .

1. , 2. , 3.

На графике кривая 2 экспоненциальная функция надежности, учитывающая вероятность отказа; 1 – нормальная функция надежности; 3-действительная функция надежности, учитывающая совместное действие внезапных и износовых отказов.

При совместном действии внезапных и износовых отказов решаются 2 задачи:

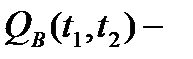
1. Определить вероятность безотказной работы элементов в течении промежутка времени t1, t2 при условии, что элемент проработал время t1.

2. Найти вероятность безотказной работы от момента включения t=0 до момента t.

А - событие, заключающееся в отказе элемента в следствии внезапного отказа. В – событие, заключающееся в отказе элементов за счет износовых отказов. Вероятность отказа по двум причинам одновременно практически равна 0, эти события можно считать несовместными. Отказ элементов будет представлять сумму двух несовместных событий: Т.о. .

Вероятность внезапного отказа через экспоненциальную функцию надежности:

,

Тогда: . Т.о. на основе (9): . Для решения 2 задачи необходимо выполнить следующие операции: в начале работы t1=0; тогда . Выражение можно заменить на . Таким образом, Р – при совместном действии внезапных и износовых отказов записывается в виде: .

 







Date: 2015-07-23; view: 767; Нарушение авторских прав



mydocx.ru - 2015-2026 year. (0.843 sec.) Все материалы представленные на сайте исключительно с целью ознакомления читателями и не преследуют коммерческих целей или нарушение авторских прав - Пожаловаться на публикацию