Главная Случайная страница


Полезное:

Как сделать разговор полезным и приятным Как сделать объемную звезду своими руками Как сделать то, что делать не хочется? Как сделать погремушку Как сделать так чтобы женщины сами знакомились с вами Как сделать идею коммерческой Как сделать хорошую растяжку ног? Как сделать наш разум здоровым? Как сделать, чтобы люди обманывали меньше Вопрос 4. Как сделать так, чтобы вас уважали и ценили? Как сделать лучше себе и другим людям Как сделать свидание интересным?


Категории:

АрхитектураАстрономияБиологияГеографияГеологияИнформатикаИскусствоИсторияКулинарияКультураМаркетингМатематикаМедицинаМенеджментОхрана трудаПравоПроизводствоПсихологияРелигияСоциологияСпортТехникаФизикаФилософияХимияЭкологияЭкономикаЭлектроника






Надежность (безотказность) невосстанавливаемого изделия, функция надежности





Вероятность безотказной работы любого изделия связана с безотказной работой комплектующих его элементов. Под элементом изделия понимают не только неделимая часть изделия, но и любое устройство надежность которого рассчитывается не зависимо от надежности других элементов.

Функция надежности.

Предположим, что имеется элемент, которые прошел приработку, т.е. все приработочные отказы устранены. Известно, что в момент включения он исправен, момент включения считаем за начало отсчета наработки, очевидно, что в вероятность достоверного события будет равна 1: .

С течение наработки вероятность безотказной работы уменьшается – это объясняется тем, чем больше времени работает элемент, тем больше вероятность того что произойдет отказ либо за счет случайной концентрации нагрузок, либо в результате старения (износа). Если внезапный отказ не произошел, то износовый произойдет обязательно. Будем считать что элемент может находится в двух состояниях – работоспособном и неработоспособном.

Пусть событие А – это событие заключающееся в точ, что элемент находится в работоспособном состоянии, а В – это событие заключающееся в том что элемент находится в состояние отказа. Тогда поскольку событие А+В – полная картина событий, поэтому эти события противоположны: Р(А)+Р(В)=1 (1). Вероятность безотказной работы элемента по времени будем обозначать P(t), вероятность отказа Q(t). Тогда (1) P(t)+ Q(t)=1 (2).

Равенство (2) определяет общую надежность элементов.

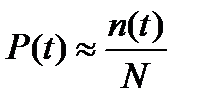
Кривую P(t) называют функцией надежности или законом надежности, Кривую Q(t) – функцией ненадежности. Функцию безотказности можно найти приближенно из опыта. Для этого необходимо взять большое число одинаковых элементов, включив их в работу, отмечать моменты появления отказов в течение заданного времени. Зная эти моменты определить функцию P(t) = число элементов оставшиеся неотказавшимися к моменту времени t.

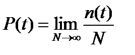
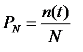
В начальный момент времени n(0)=N. В момент каждого отказа эта функция уменьшается на 1, если разделить число элементов оставшиеся работать на число элементов, поставившихся на испытание: . , при t=0 PN(0)=1, при t=tn PN(tn)=0.

При увеличении числа испытываемых элементов эта функция приближается к функции P(t). , .







Date: 2015-07-23; view: 626; Нарушение авторских прав



mydocx.ru - 2015-2026 year. (1.337 sec.) Все материалы представленные на сайте исключительно с целью ознакомления читателями и не преследуют коммерческих целей или нарушение авторских прав - Пожаловаться на публикацию