Главная Случайная страница


Полезное:

Как сделать разговор полезным и приятным Как сделать объемную звезду своими руками Как сделать то, что делать не хочется? Как сделать погремушку Как сделать так чтобы женщины сами знакомились с вами Как сделать идею коммерческой Как сделать хорошую растяжку ног? Как сделать наш разум здоровым? Как сделать, чтобы люди обманывали меньше Вопрос 4. Как сделать так, чтобы вас уважали и ценили? Как сделать лучше себе и другим людям Как сделать свидание интересным?


Категории:

АрхитектураАстрономияБиологияГеографияГеологияИнформатикаИскусствоИсторияКулинарияКультураМаркетингМатематикаМедицинаМенеджментОхрана трудаПравоПроизводствоПсихологияРелигияСоциологияСпортТехникаФизикаФилософияХимияЭкологияЭкономикаЭлектроника






Интенсивность отказов, общая формула вероятности безотказной работы





Интенсивность отказов () называется вероятность отказа не ремонтируемого изделия в единицу времени при условии, что отказ до этого момента не возникал. Предположим, что некоторый элемент проработал в течение интервала времени от 0 до t. Какова вероятность того, что этот элемент откажет на интервале .

А-событие безотказной работы от 0 до t. В-событие безотказной работы от t до t1.

Для того чтобы элемент смог безотказно работать на интервале он должен безотказно проработать на интервале 0 до t.

Р(АВ)=Р(А)*Р(В/А) (1)

Р(А) =Р(0,t) – вероятность безотказной работы элемента на интервале от 0 до t.

Р(В/А) = Р(t,t1) – условная вероятность события В, что условие А имело место.

Р(В/А)= Р(t,t1)=Р(АВ)/Р(А); Р(АВ)= Р(0,t1).

0, t= 0,t+ t, t1,

Р(t,t1)= Р(0,t1)/ Р(0,t) (2)

Р(t,t1)= Р(t1)/ Р(t) (2а)

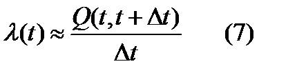
Вероятность отказа элемента на интервале (t, t1):

Равенство (3) может быть переписано в виде: . Умножим числитель и знаменатель (4) на при .

, , введем обозначение - интенсивность отказа.

Из равенства (5) с учетом (6) получим: , .

Из (7) следует что интенсивность отказа есть отношение вероятности отказа на интервал () при . Интенсивность отказов определяемая (7) стремится к интенсивности отказа определяемая равенством (6). В соответствии (6) величина может быть определена из графика функции надежности как отношение численного значения тангенса угла наклона касательной к кривой к численной ординаты функции надежности.

Если известна интенсивность отказа элементов, то можно рассчитать вероятность работы любой сколь угодно сложной системы. Незнание функции для составляющих элементов исключает возможность определить вероятность безотказной работы.

Чем менее точно известно для элементов тем больше ошибки в расчете безотказности изделия.

Интенсивность отказов может быть определена опытным путем на основе испытаний изделий.

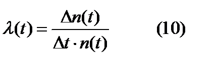
Предположим Р(t) – есть отношение: , - число элементов, оставшихся безотказными. Тогда на малом отрезке и большом числе испытуемых образцов N.

, , ,

где -число отказавших элементов на интервале времени, n(t)-число неотказавших элементов.

 

Экспериментальная кривая заменяется плавной кривой. Чем больше N и меньше интервал времени , тем точнее экспериментальная характеристика и заменяющая её плавная кривая, которая отражает действительную картину интенсивности отказов.

Эргодическая теория. На основании известной из теории вероятности эргодической теории среднее значение (мат. ожидание) при совокупном наблюдении ……….равна среднему значению по времени, определенной за одной системой (элементов).

В данном случае это означает, что изменение интенсивности отказа по времени для 1-го отдельно взятого элемента может быть описано тем же самым законом что и интенсивность, полученная при испытании однотипных элементов большой группы.

Вид функции показан 3 характерных участка:

I – участок приработки; II – нормальной эксплуатации; III – участок износовых отказов, могут возникать внезапные отказы.

Деление на участки является условным но оно позволяет рассмотреть работу элементов по участкам и для каждого участка применять свой закон распределения.

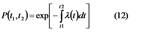
, -общая формула безотказной работы позволяет определить Р если известна интенсивность отказа.

Если требуется определить вероятность безотказной работы . Равенство (12) справедливо при условии, что в момент времени t1 элемент находился в работоспособном состоянии.







Date: 2015-07-23; view: 1155; Нарушение авторских прав



mydocx.ru - 2015-2026 year. (0.275 sec.) Все материалы представленные на сайте исключительно с целью ознакомления читателями и не преследуют коммерческих целей или нарушение авторских прав - Пожаловаться на публикацию