Главная Случайная страница


Полезное:

Как сделать разговор полезным и приятным Как сделать объемную звезду своими руками Как сделать то, что делать не хочется? Как сделать погремушку Как сделать так чтобы женщины сами знакомились с вами Как сделать идею коммерческой Как сделать хорошую растяжку ног? Как сделать наш разум здоровым? Как сделать, чтобы люди обманывали меньше Вопрос 4. Как сделать так, чтобы вас уважали и ценили? Как сделать лучше себе и другим людям Как сделать свидание интересным?


Категории:

АрхитектураАстрономияБиологияГеографияГеологияИнформатикаИскусствоИсторияКулинарияКультураМаркетингМатематикаМедицинаМенеджментОхрана трудаПравоПроизводствоПсихологияРелигияСоциологияСпортТехникаФизикаФилософияХимияЭкологияЭкономикаЭлектроника






Нормальное (Гауссово) распределение плотности вероятности





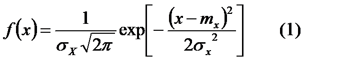
Нормальное распределение используется в теории вероятности для описания событий, зависящих от многих факторов, каждый из которых слабо влияет на распределение случайных событий. По нормальному закону распределяются параметры серийной продукции, параметры износа. Плотность распределения: .

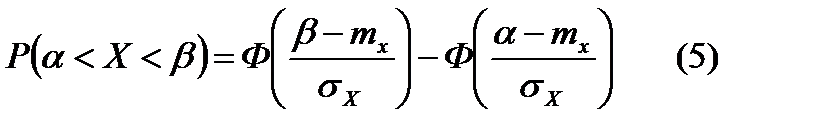
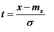
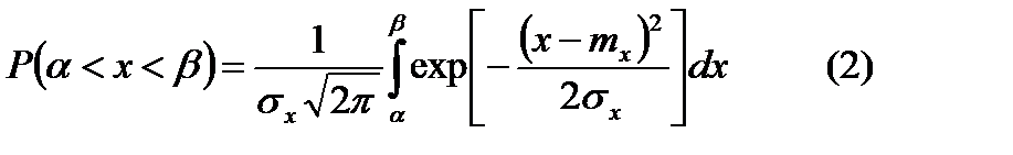
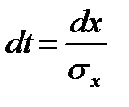
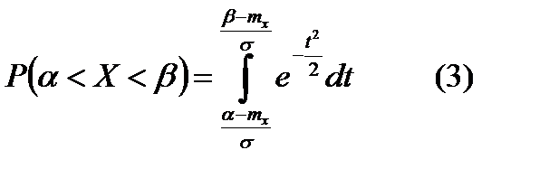
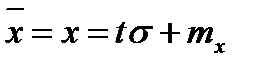
Распределение Гаусса зависит от двух параметров М(х) и Д(х). Кривая плотности симметрична относительно оси, параллельной оси ординат. Максимальное значение этой плотности равно . Вероятность попадания случайной величины распределенной по нормальному закону в заданный интервал : . Для упрощения расчета используется табулированное выражение равенства (2), вводим новую переменную , тогда , . . - интеграл Лапласа или интеграл вероятности, тогда . Интеграл вероятности обладает свойствами: Ф(0)=0, Ф()=0,5, Ф(-х)=-Ф(х).

При нормальном распределении на интервале срабатывает закон 3 , согласно которому в этом интервале попадание почти 100%, 97,7%, поэтому вероятность появления случайной величины вне этого интервала очень мала, менее 0,3%.







Date: 2015-07-23; view: 741; Нарушение авторских прав



mydocx.ru - 2015-2026 year. (2.165 sec.) Все материалы представленные на сайте исключительно с целью ознакомления читателями и не преследуют коммерческих целей или нарушение авторских прав - Пожаловаться на публикацию