Главная Случайная страница


Полезное:

Как сделать разговор полезным и приятным Как сделать объемную звезду своими руками Как сделать то, что делать не хочется? Как сделать погремушку Как сделать так чтобы женщины сами знакомились с вами Как сделать идею коммерческой Как сделать хорошую растяжку ног? Как сделать наш разум здоровым? Как сделать, чтобы люди обманывали меньше Вопрос 4. Как сделать так, чтобы вас уважали и ценили? Как сделать лучше себе и другим людям Как сделать свидание интересным?


Категории:

АрхитектураАстрономияБиологияГеографияГеологияИнформатикаИскусствоИсторияКулинарияКультураМаркетингМатематикаМедицинаМенеджментОхрана трудаПравоПроизводствоПсихологияРелигияСоциологияСпортТехникаФизикаФилософияХимияЭкологияЭкономикаЭлектроника






Формульный инструментарий. 1. Темп прироста (экономический потенциал) реализованной продукции





1. Темп прироста (экономический потенциал) реализованной продукции. Модель является жестко детерминированной факторной моделью, устанавливающей зависимость между темпом роста экономического потенциала предприятия и основными определяющими его факторами.

q – темп прироста реализованной продукции (желаемый или прогнозируемый)

r – коэффициент реинвестирования прибыли

PR – реинвестированная в отчетном периоде прибыль

PN – чистая прибыль отчетного периода

p – коэффициент рентабельности продукции

s – выручка от реализации

RO - ресурсоотдача

A – имущество предприятия (актив баланса)

FD – коэффициент финансовой зависимости

E – собственный капитал предприятия

L - привлеченный капитал предприятия.

2. Сумма мест полученных в ходе ранжирования (графоаналитическая модель потенциала предприятия)

Рj – сумма мест полученных в ходе ранжирования

kч – коэффициент чувствительности

аij - данные (в виде таблицы)

i = 1, 2, 3,…n – номера показателей в строках

j = 1, 2, 3,…m – названия рассматриваемых предприятий.

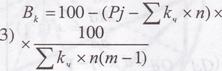
3. Длина вектора, создающего квадрат потенциала

Bk – длина вектора, где k = 1, 2, 3, 4

Рj – сумма мест полученных в ходе ранжирования

kч – коэффициент чувствительности

j = 1, 2, 3,…m – названия рассматриваемых предприятий.

Задачи

Пример 1. С помощью существующего алгоритма графоаналитического метода оценки потенциала предприятия "Квадрат потенциала" и предоставленной ниже экономической информации дать оценку потенциала предприятия "Габеба", "Апофеоз", "Танк", "Хаги-ваги", "Десна".

Таблица. Производство, распределение и сбыт продукции.

Показатель Коэф. чувств. «Апофеоз» «Танк» «Хаги- ваги» «Десна» «Габеба»
  Мощность предприятия 1,25          
  Качество продукции 1,35   95,8   91,7 95,5
  Фондоотдача 1,15 2,9 3,07 2,83 2,69 3,15
  Затраты на ед. товарной продукции 1,1 0,9 0,91 1,04 0,99 0,89
  Экология производства 1,15          
  Прибыль 1,25          
  Рентабельность производства 1,25 4,5 4,7 4,6 3,7 6,5

Таблица. Организационная структура и менеджмент

Показатель Коэф. чувств. «Апофеоз» «Танк» «Хаги-ваги» «Десна» «Габеба»
  Деловые качества менеджеров 1,15          
  Эффективность орг. структуры управления 1,2          
  Возраст персонала 1,25   61,5 60,4    
  Уровень образования 1,15 7,5 11,5   4,5  
  Продуктивность работы 1,1          
  Среднемесячная оплата работы 1,15          

 

Таблица. Маркетинг

Показатель Коэф. чувств. «Апофеоз» «Танк» «Хаги-ваги» «Десна» «Габеба»
  Объемы поставок на внутренний рынок 1,25          
  Место в экспорте 1,1          
  Финансирование рекламной деятельности 1,25 0,011 0,115 0,018 0,012 0,122
  Фирменный стиль 1,1          
  Цена за единицу продукции 1,15         34,5
  Затраты на инновационную деятельность 1,3          

 

 

Таблица. Финансы

Показатель Коэф. чувств. Эталон «Апофеоз» «Танк» «Хаги-ваги» «Десна» «Габеба»
  Коэф. ликвидности:  
  Текущей оценки 1,15 2-3 2,9 2,5 2,3 2,6 2,9
  Критич. оценки 1,15 2-3 2,8 2,3 2,1 2,5 2,8
  Оборот мат.-тов. запасов 1,1 1-5 4,9 4,4 4,3 4,3 4,8
  Срок погашения дебит. задолж. 1,05 до 60 дней 1,1 1,6 4,5 1,15 1,6
  Коэф. рентабельности:  
  Продажи 1,25 > 10% 4,6 10,5      
  Активов 1,15 > 20%          
  Собств. капитала 1,05 ̴ 100%          
  Показатели эффективности:  
  Оборотность активов 1,15 3-7 0,2 0,5 0,4 0,3 0,25
  Прибыль на 1 работающего 1,15 1,5 1,8 1,2 1,3 1,6 1,7
  Выторг на 1 работающего 1,25            
  Коэф. зависимости:  
  Задолженности 1,15 до 0,7 0,25 0,13 0,6 0,3 0,15
  Капитализации 1,1 до 10 4,5 4,8 3,5 4,5 4,9

 


Решение

1. Воспользуемся формульным инструментарием и алгоритмом графоаналитического метода оценки потенциала предприятия «Квадрат потенциала». Находим сумму мест, полученных в ходе ранжирования:

Pj = ∑aij*kч

Pj1 = 1,25*4+1,35*2+1,15*1+1,1*1+1,15*2+1,25*1+1,25*1 = 14,75

Pj2 = 1,15*1+1,2*3+1,25*1+1,15*2+1,1*1+1,15*2+1,5*2 = 11,7

Pj3 = 1,15*1+1,15*1+1,1*2+1,05*2+1,25*3+1,15*2+1,05*2+1,15*2+1,15*2 +1,25*1+1,15*3+1,1*5 = 29,55

Pj4 = 1,25*2+1,1*2+1,25*1+1,1*1+1,15*2+1,3*3 = 13,25

 


Таким образом предприятие имеет все шансы для успешного функционирования на рынке, исходя из методики и описательных характеристик длины каждого вектора.







Date: 2015-07-17; view: 1212; Нарушение авторских прав



mydocx.ru - 2015-2026 year. (1.269 sec.) Все материалы представленные на сайте исключительно с целью ознакомления читателями и не преследуют коммерческих целей или нарушение авторских прав - Пожаловаться на публикацию