Главная Случайная страница


Полезное:

Как сделать разговор полезным и приятным Как сделать объемную звезду своими руками Как сделать то, что делать не хочется? Как сделать погремушку Как сделать так чтобы женщины сами знакомились с вами Как сделать идею коммерческой Как сделать хорошую растяжку ног? Как сделать наш разум здоровым? Как сделать, чтобы люди обманывали меньше Вопрос 4. Как сделать так, чтобы вас уважали и ценили? Как сделать лучше себе и другим людям Как сделать свидание интересным?


Категории:

АрхитектураАстрономияБиологияГеографияГеологияИнформатикаИскусствоИсторияКулинарияКультураМаркетингМатематикаМедицинаМенеджментОхрана трудаПравоПроизводствоПсихологияРелигияСоциологияСпортТехникаФизикаФилософияХимияЭкологияЭкономикаЭлектроника






КоэффициентыАiиBj, зависящие от интенсивностей переходов, определяются из графа состояний по следующим правилам





Коэффициент при sn-1 всегда равен единице, т. е. А0 = 1. Коэффициент А1 равен сумме всех интенсивностей переходов в графе состояний. Коэффициент А2 равен сумме всех попарных произведений интенсивностей переходов, за исключением членов вида аi,j · аi,j аj,i и аi,j аi,k. Интенсивности переходов аi,j и аj,i находятся в ветвях, образующих контуры, а интенсивности аi,j и аi,k — в ветвях, исходящих из i -го узла. Коэффициент Аi (i = 3, 4,..., n -1) равен сумме произведений интенсивностей переходов, взятых по i, за ис­ключением тех произведений, в которые входят одновременно интенсивности переходов ветвей, образующих контуры и исходящих из одного и того же узла. Такие члены легко определить по графу состояний.

Следует иметь в виду, что главный определитель системы Δ(s) не зависит от начальных условий, а поэтому сформулированное правило определения коэ ффициентов Аi полинома знаменателя справедливо при любых начальных условиях решения задачи.

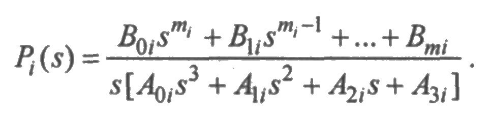
Коэффициенты полинома числителя В ij (j =0,1,..., т) находятся из выражений для коэффициентов Аi полинома знаменателя при соответствующих степенях s. Коэффициент В ij при sт - j равен сумме только тех слагаемых коэффициента Аi при s той же степени, у которых:

-содержатся произведения всех интенсивностей переходов из начального состояния системы, определенного начальными условиями решения задачи, в состояние i по кратчайшему пути;

- отсутствуют интенсивности переходов из i -го состояния.

 

 

ПРИМЕР 5.18. Необходимо определить вероятности всех состояний системы (рис. 5.23). Систему обслуживают две бригады. Предполагается также, что начальными условиями функционирования системы являются: Р0(0) = 1, Р1(0) = Р2(0) = Р3(0) = 0.

 

Решение. Граф состояний системы изображен на рис. 5.24.

 

Определим сначала полином знаменателя вероятностей Рi(s) (i = 0,1,2,3), т. к. он является общим и не зависит от i.

Из графа рис. 5.24 видно, что система может находиться в четырех состоянияx, поэтому п = 4. Тогда

На основании сформулированного выше правила находим коэффициенты полинома.

Коэффициент А0=1. Коэффициент А1 равен сумме всех интенсивностей переходов, указанных на рис. 5.24, поэтому А1 = 5λ + 4μ.

В выражении для коэффициента А2 будут отсутствовать члены а02а20, а01а10, а13а31, т.к. они являются произведениями интенсивностей, находящихся в ветвях, образующих контуры. Не будет также членов вида а02а01, а10а13, являющихся произведениями интенсивностей переходов из одного и того же узла (0 или 1). Тогда

В выражении для коэффициента А3 будут отсутствовать слагаемые вида а02а20, а01а10, а13а31, а02а01, а10а13, …. Перебор всех возможных комбинаций интенсивностей переходов по три показывает, что коэффициент А3 имеет лишь четыре слагаемых:

Найдем теперь полиномы Δi. Степень полинома Δ0 будет: m0 =п-1-l() = 4-1-0 = 3.

Тогда Δ0 (s) = В00 s3 + В10 s 220 s + В30. Так как степень полинома Δ0 (s) совпадает со степенью полинома Δ (s)/ s, то коэффициент В00 определяется из коэффициента А0, В10 — из А1, В20 — из А2, В30A3. На основании сформулированного выше правила коэффициенты Вj0 не должны содержать слагаемых, в которые входят в качестве сомножителей интенсивности переходов из состояния 0, т. е. интенсивности а01 и а 02. Исключая эти слагаемые из выражений для Аi, получим:

Подставляя значения коэффициентов в выражение для определителей, получим:

Степень полинома Δ1 будет т1 =п-1-l1 = 4-1-1 = 2, т.е. Δ1 = В01 s2 + В11 s + В21. Тогда коэффициент В01 определяется из коэффициента А1, В11 – из А2, В21 – из А3.

Коэффициенты Вj1 не должны содержать слагаемых, в которые входят в качестве сомножителей интенсивности переходов из состояния (1), т.е. интенсивности а 10. а 13. Коэффициенты Вj1 должны содержать только те слагаемые, соответствующие Аi, которые содержат в качестве сомножителя произведения интенсивностей перехода из начального состояния (0) в состояние (1), т.е. интенсивность а 01. Исключая указанные слагаемые из выражений для Аi, получим:

Тогда

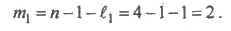
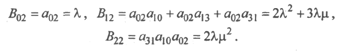
Степень полинома Δ 2(s) будет m2 = п-1-l2 =4-1-1 = 2, т. е. Δ202s2 + В12s + В22. В данном случае коэффициенты Вj2 не должны содержать слагаемых, в которые входит интенсивность перехода из состояния (2), т. е. интенсивность а20, кроме того, Вj2 должны содержать только те слагаемые коэффициентов Аi, которые содержат в качестве сомножителя интенсивность а02. Исключая из Аi указанные слагаемые, получим:


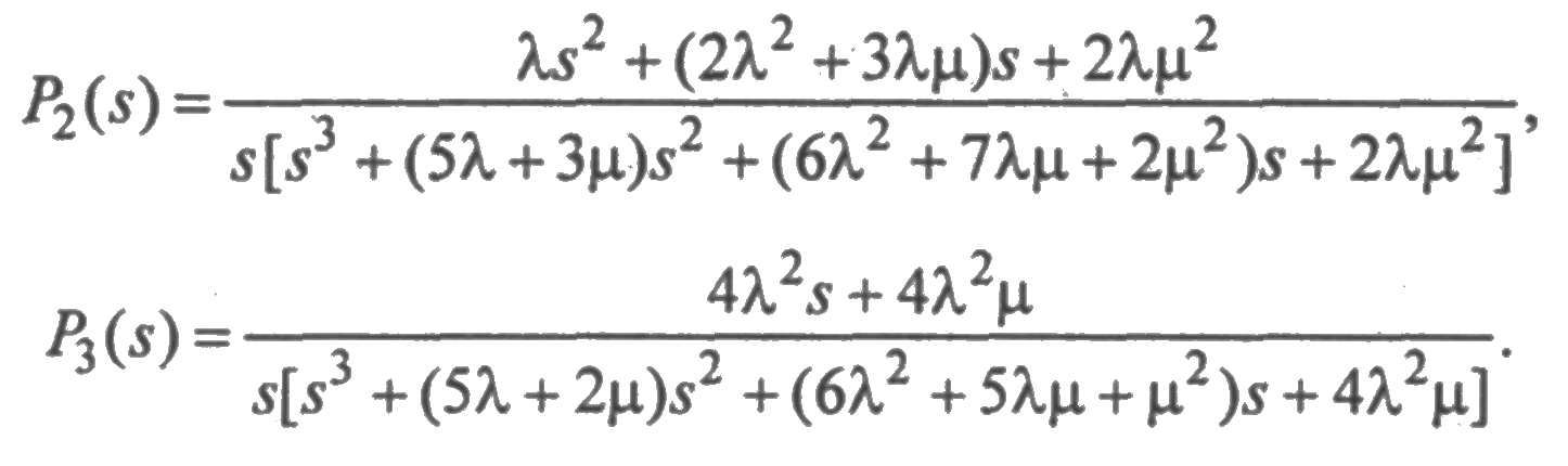
Тогда

Степень полинома Δ3 (s) будет т3 =п-1-l3 = 4-1-2 = 1, т.е. Δ3 (s) = Вs + В. Коэффициенты В и В13 не должны содержать слагаемых, в которые входит интенсивность перехода из состояния (3) в состояние (1), т.е. интенсивность а31, кроме того, они должны иметь только те слагаемые коэффициентов Аi, которые содержат в качестве сомножителя произведения интенсивностей перехода из состояния (0) в состояние (3), по кратчайшему пути, т. е. произведение а01а13.

Исключая указанные слагаемые из Аi, получим:

Тогда

 

 

ПРИМЕР 5.19. Необходимо определить вероятности всех состояний системы (рис. 5.23). Предполагается, что начальными условиями функционирования системы являются:

Отличие примера 5.19 от примера 5.18 состоит в том, что здесь изучаются закономерности функционирования системы с момента, когда отказал один из резервных элементов, т. е. с момента, когда система находится в состоянии 1.

 

Решение. Так как главный определитель системы не зависит от начальных условий, то полином знаменателя будет тем же, как и в примере 5.18. Определим полиномы Δi (s). Степень полинома Δ0 (s) будет m0 = n -1- l 0 = 4-1-1 = 2. Здесь l0=1 потому, что из состояния (1), в котором находится система в начале функционирования, в состояние (0) она переходит в результате однократного изменения состояния. Тогда

Коэффициенты Вj 0 здесь не должны содержать слагаемых, в которые в виде сомножителя входят интенсивности перехода из состояния (0), т. е. интенсивности а01 и а02, кроме того, они должны иметь только те слагаемые коэффициентов Аi, в которые входит в качестве сомножителя интенсивность перехода из состояния (1) в состояние (0), т. е. интенсивность а 10.

Исключая указанные сомножители из соответствующих коэффициентов Аi, получим:

Тогда

Степени остальных полиномов будут:

Тогда

Коэффициенты Вj 1 полинома Δ1 (s) не должны содержать слагаемых, в которые в качестве сомножителя входят интенсивности а 10, а13.

Коэффициенты Вj 2 полинома Δ2 (s) не должны содержать слагаемых, в которые в качестве сомножителя входит интенсивность а20. Кроме того, коэффициенты Вj 2 должны содержать только те слагаемые соответствующих коэффициентов Аi, в которые входит произведение интенсивностей а10·а02. Коэффициенты Вj 3полинома Δ3 (s) не должны содержать слагаемых, в ко­торые в качестве сомножителей входят интенсивности а 31. Кроме того, коэффициенты Вj 3должны содержать только те слагаемые коэффициентов Аi, в которые входит в качестве сомножителя интенсивность а13.

Выполнив очевидные преобразования над коэффициентами полинома знаменателя функции Рi(s) и элементарные вычисления, получим:

 

 

 

5.4.2. Определение финальных вероятностей состояний системы

Финальные вероятности пребывания системы в i -м состоянии можно вычислить, воспользовавшись соотношением

Подставляя в это выражение вероятность Pi(s) из (5.13), получим:

Таким образом, для вычисления финальных вероятностей достаточно определить свободные коэффициенты полиномов Δi (s) и Δ (s) по приведенным выше правилам. Однако коэффициенты Втi и Ап-1 можно получить значительно проще непосредственно из графа состояний, если предположить, что в графе отсутствуют переходы через состояния.


Вероятность Рi является величиной безразмерной, поэтому каждое из слагаемых коэффициентов Втi и Ап-1 имеет одно и то же число сомножителей, равное (n -1). Так как слагаемые не должны содержать сомножителей вида аij·аji, то для графа типа дерева в каждое из них должна входить только одна из этих интенсивностей перехода.

На основании сформулированных выше правил коэффициент Втi не имеет интенсивностей переходов из 1-го состояния и содержит только такие члены, в которые входят произведения интенсивностей переходов из начального состояния в i-е по кратчайшему пути.

Все это позволяет сделать следующий вывод: коэффициент Втi имеет только один член, который представляет собой произведение всех интенсивностей переходов из крайних свободных узлов графа в i -е состояние. Так как

а это означает, что коэффициент An-1 имеет столько членов, сколько узлов в графе состояний. Каждое из слагаемых равно соответствующему коэффициенту Втi и определяется по сформулиро­ванному выше правилу определения коэффициента Втi для i -го состояния.

Таким образом, финальную вероятность пребывания системы в /-м состоянии по графу типа дерева можно определить по формуле:

где п — число узлов графа, Втi — произведение интенсивностей переходов из всех крайних свободных узлов в узел, соответствующий i -му состоянию системы, при перемещении по кратчайшему пути в направлении стрелок.

 

ПРИМЕР 5.20. Необходимо определить финальные вероятности пребывания системы во всех возможных состояниях, схема расчета надежности которой приведена на рис. 5.25. Восстанавливает систему одна бригада обслуживания.

 

Решение. Из графа на рис. 5.26 видно, что система может находиться в пяти состояниях в соответствии с числом узлов графа, причем узлы 0, 2 и 4 являются крайними.

Перемещаясь из узлов 2 и 4 в узел 0 по направлению стрелок и перемножая все встречающиеся интенсивности переходов, получим:

Перемещаясь в узел 1 из крайних узлов 0,2 и 4, получим:

Аналогично,

Тогда

и на основании (5.17) получим:

Из описания способа вычисления Рi и приведенного примера видно, что определение финальных вероятностей по графу состояний значительно проще, чем путем решения уравнений функционирования системы.

 

 

5.4.3. Определение вероятности попадания системы в i-е состояние в течение времени t

 

Для определения преобразования Лапласа искомой вероятности по графу состояний достаточно во всех ветвях, выходящих из состояния i, поставить экраны и выполнить те же действия, что и в случае определения вероятности пребывания системы в i -м состоянии в данный момент времени.

Вероятность попадания системы в состояние i в течение времени t в преобразовании Лапласа может быть представлена в следующем виде:


где Δ(s) — главный определитель системы дифференциальных уравнений, записанной в преобразовании Лапласа; Δi(s) — частный определитель системы.

Выражения (5.18) и (5.13) принципиально отличаются друг от друга, несмотря на их внешнее сходство. Основные их отличия состоят в следующем:

□ полином знаменателя выражения (5.13) не зависит от начальных условий и состояния i, в то время как коэффициенты полинома знаменателя выражения (5.18) зависят от состояния i, вероятность попадания в которое вычисляется по формуле (5.18);

□ в отличие от (5.13),

Действительно, какова бы ни была структура системы и дисциплина обслуживания при t -→∞ (s→0), система обязательно попадет в состояние i.

 

ПРИМЕР 5.21. Необходимо определить вероятность попадания во все возможные состояния в течение времени t системы, схема расчета надежности которой и граф состояний приведены на рис. 5.23 и 5.24 соответственно. Условия функционирования системы те же, что и в примере 5.18.

 

Решение. Из графа видно, что система может находиться в четырех состояниях, поэтому п - 4, и на основании (5.18)

 

Сначала найдем вероятность попадания системы в состояние (0), для чего запретим переходы из состояния (0) в состояния (1) и (2), т.е. будем считать, что а01 = а02 = 0.

Вычисляя коэффициенты Аji по описанной ранее методике, получим:

Степень полинома числителя на основании (5.14) будет иметь значение:

Тогда коэффициент В00 можно вычислить из коэффициента А00, В10 — из А10, В20 — из А20, В30 — из А30. На основании сформулированного в разд. 5.4.1 правила коэффициенты Вj0, вычисляемые из соответствующих коэффициентов Аj0, не должны содержать в качестве сомножителей интенсивности переходов из состояния (0). Однако в данном случае коэффициенты Аj0 не содержат этих интенсивностей, т.к. состояние (0) является поглощающим. Тогда В00 = А00, В10 = А10, В20 = А20, В30 = А30 а значит Р0(s) = 1/s, т.е. Р0(t) = 1, что и следовало ожидать, т. к. по условию задачи при t = 0 система находится в состоянии (0) с вероятностью, равной единице.

Определим вероятность попадания системы в состояние (1), полагая, что это состояние является поглощающим и а 10 = а 13 = 0. При этом условии коэффициенты Аji будут иметь значения:

Степень полинома числителя будет:

Тогда Δi/(s)=В01s2+B11s+B21, т.е. коэффициент В01 вычисляется из коэффициента А11, В11 — из А21, В21 — из А31. Коэффициенты Вji должны содержать только те слагаемые, у которых в качестве сомножителя имеется интенсивность перехода из начального состояния (0) в состояние (1), т. е. а01. Исключая из коэффициентов Аji члены, не содержащие интенсивность а01, получим:

Подставляя значения коэффициентов в полиномы числителя и знаменателя искомой вероятности, получим:

Вычисления P1(s) можно было бы упростить, рассматривая граф рис. 5.24 без состояния (3). Действительно, если состояние (1) является поглощающим, то при начальных условиях Р0(0) = 1, Р1(0) = Р2(0) = Р3(0) = 0 система в состояние (3) перейти не может, а значит, это состояние является лишним.

Выполнив аналогичные вычисления, можно получить следующие выражения для вероятностей попадания системы в состояния (2) и (3):

Из полученных выражений видно, что полиномы знаменателей Pi(s) различны, а для каждого состояния.

 

 







Date: 2015-07-17; view: 912; Нарушение авторских прав



mydocx.ru - 2015-2026 year. (1.626 sec.) Все материалы представленные на сайте исключительно с целью ознакомления читателями и не преследуют коммерческих целей или нарушение авторских прав - Пожаловаться на публикацию