Главная Случайная страница


Полезное:

Как сделать разговор полезным и приятным Как сделать объемную звезду своими руками Как сделать то, что делать не хочется? Как сделать погремушку Как сделать так чтобы женщины сами знакомились с вами Как сделать идею коммерческой Как сделать хорошую растяжку ног? Как сделать наш разум здоровым? Как сделать, чтобы люди обманывали меньше Вопрос 4. Как сделать так, чтобы вас уважали и ценили? Как сделать лучше себе и другим людям Как сделать свидание интересным?


Категории:

АрхитектураАстрономияБиологияГеографияГеологияИнформатикаИскусствоИсторияКулинарияКультураМаркетингМатематикаМедицинаМенеджментОхрана трудаПравоПроизводствоПсихологияРелигияСоциологияСпортТехникаФизикаФилософияХимияЭкологияЭкономикаЭлектроника






На применении теорем теории вероятностей





5.2.1. Метод перебора гипотез

Пусть невосстанавливаемая система состоит из п элементов и имеет произвольную структуру. Предположим, что каждый элемент может находиться в двух состояниях: состоянии работоспособности и состоянии отказа. Пусть рi - вероятность работоспособного, а qi, — вероятность отказового состояния i- го элемента, рi + qi = 1. Тогда система может находиться в 2 n состояниях:

H0 —все и элементов работоспособны;

Hi — отказал i- й элемент, остальные работоспособны;

Hi,j — отказали i- й и j- й элементы, остальные работоспособны;

….

H1,2,….,n — отказали все элементы.

Предполагая, что отказы элементов события независимые, можно найти вероятность каждой гипотезы:

Вероятность безотказной работы системы определяется суммированием вероятностей тех гипотез, которые соответствуют работоспособным состояниям системы, т. е.

Последняя запись означает, что суммирование производится по всем гипотезам, соответствующим работоспособным состояниям системы.

В силу очень большого числа состояний системы метод прямого перебора гипотез является достаточно трудоемким и редко применяется на практике.

 

 

Замечание

Обычно системы обладают свойством монотонности, которое заключается в том, что если Нα — состояние отказа системы и βͻα, то Нβ — также состояние отказа. Для монотонных систем после достижения некоторого состояния отказа Нα перебор гипотез с большим количеством индексов прекращается. Часто это приводит к существенному сокращению вычислений.

 

 

5.2.2. Метод, основанный на применении классических теорем теории вероятностей

Метод удобно применять для расчета надежности последовательных, параллельных, последовательно-параллельных и других систем в предположении взаимной независимости длительностей безотказной работы элементов системы. В этом случае, основываясь на теоремах сложения и умножения теории вероятностей, а также на формуле полной вероятности легко найти явные выражения для вероятности безотказной работы системы.

 

 

ПРИМЕР 5.6. Требуется оценить надежность систем, структурные схемы которых изображены на рис. 5.11. Вероятности безотказной работы элементов соответственно равны рi, i = 1,2,3,4.

 

 

 

Решение. Обозначим через Аi событие, состоящее в том, что i -й элемент исправен. Тогда — событие, состоящее в том, что i -й элемент отказал. Вероятности этих событий соответственно равны P(Ai) = pi, P () = qi, i = 1,2,3,4.

Для схемы на рис. 5.11, а вероятность отказа узла 1—2 равна Р( ), а вероятность отказа узла 3—4 равна Р( ). По теореме умножения вероятностей

Отсюда следует, что вероятности безотказной работы этих узлов соответственно равны

Вероятность безотказной работы системы равна произведению вероятностей этих узлов, т.е.

Рассмотрим схему на рис. 5.11, б. Вероятность безотказной работы узла 1—3 равна Р(А1А3) = р1р3, а вероятность безотказной работы узла 2—4 равна Р(А2А4) = р2p4. Вероятности отказов этих узлов равны соответственно 1-р1p3 и 1-р2р4, а вероятность отказа системы равна произведению вероятностей отказов этих узлов, т. е.

Вероятность безотказной работы системы определяется как вероятность дополнительного события Р=(1-Q), отсюда

Довольно часто при расчете надежности используется формула полной вероятности. Пусть события Hi, образуют полную группу попарно несовместных событий (гипотезы), а А — любое событие. Тогда имеет место формула полной вероятности

где Р(A/Hi) — вероятность события А, вычисленная при условии, что гипотеза Hi осуществилась.

 

ПРИМЕР 5.7. Требуется оценить надежность мостиковой системы, структурная схема которой изображена на рис. 5.12. Вероятности безотказной работы элементов соответственно равны рi, i = 1,2,3,4,5.

 

Решение. Пусть Н1 — гипотеза, состоящая в том, что элемент 3 является работоспособным, а Н 2 — гипотеза, что элемент 3 отказал, Р(H1)=р3, Р(H2)=q3.

Определим вероятность безотказной работы системы при условии, что 3-й элемент работоспособен. В этом случае мостиковая схема имеет структуру раздельного резервирования, как показано на рис. 5.11, а, а поэтому

Определим теперь вероятность безотказной работы системы при условии, что 3-й элемент находится в состоянии отказа. При этом мостиковая схема имеет структуру общего резервирования, как показано на рис. 5.11,, а поэтому


По формуле полной вероятности

Следовательно, вероятность безотказной работы системы равна

Рассмотренный метод называется методом разложения относительно особого элемента.

 

 

5.2.3. Метод минимальных путей и минимальных сечений

Введем два необходимых понятия.

Минимальный путь — такой набор элементов в структуре, при котором система исправна, если исправны все элементы этого набора; отказ любого из элементов ведет к отказу системы.

Минимальное сечение — такой набор элементов в структуре, при котором система неисправна, если неисправны все элементы этого набора; исключение любого элемента из набора переводит систему в исправное состояние.

У систем с произвольной структурой может быть несколько минимальных путей и минимальных сечений. Последовательное соединение из п элементов имеет один минимальный путь и п минимальных сечений, проходящих через каждый элемент. Параллельное соединение из п элементов имеет п минимальных путей, проходящих через каждый элемент, и одно минималь­ное сечение.

Пусть А12,...,Аr — множество всех минимальных путей. Событие, состоящее в том, что все элементы пути Аi исправны, будем также обозначать Аi. Можно показать, что объединение событий Аi совпадает с множеством всех исправных состояний системы и поэтому для вероятности безотказной работы справедливо равенство

Пусть В12,..., Вs — множество всех минимальных сечений. Событие, со стоящее в том, что все элементы сечения Вi неисправны, обозначим также через Вi. Можно показать, что объединение событий Вi совпадает с множеством всех отказовых состояний системы и поэтому для вероятности отказа системы справедливо равенство

Каждая из вероятностей, стоящих в правой части (5.7) и (5.8), легко вычисляется. Однако если число путей или число сечений велико, то вычисление по этим формулам становится весьма сложной задачей.

 

 

ПРИМЕР 5.8. Методом минимальных путей и минимальных сечений требуется рассчитать надежность системы, структурная схема которой изображена на рис. 5.11 .

 

Решение. Найдем минимальные пути: 1—3, 1—4, 2—3, 2—4. По формуле (5.7)

Найдем минимальные сечения: 1—2, 3—4. По формуле (5.8)

Нетрудно показать, что эти выражения равносильны выражению, полученному ранее:

Формулы (5.7) и (5.8), применяемые непосредственно для вычисления показателей надежности, все-таки достаточно громоздки и неудобны для расчетов. Тем не менее, на них базируются приближенные оценки вероятности безотказной работы.

Верхняя оценка вероятности безотказной работы определяется как вероятность безотказной работы параллельного соединения минимальных путей.

Верхняя оценка вероятности отказа системы определяется как вероятность отказа последовательного соединения минимальных сечений.

Отсюда получаются двусторонние оценки вероятности безотказной работы:

 

 

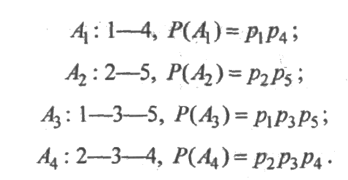
ПРИМЕР 5.9. Требуется оценить надежность мостиковой системы, структурная схема которой изображена на рис. 5.12.

 

Решение. Найдем все минимальные пут и соответствующие им вероятности:

Найдем все минимальные сечения и соответствующие им вероятности:

В соответствии с неравенствами (5.9) получим нижнюю и верхнюю оценки вероятности безотказной работы:


Если все элементы равнонадежны, то оценки приобретают вид:

Графическая иллюстрация этих оценок, когда р изменяется от 0 до 1 с шагом 0,1, приведена на рис. 5.13.

 

 







Date: 2015-07-17; view: 3189; Нарушение авторских прав



mydocx.ru - 2015-2026 year. (0.342 sec.) Все материалы представленные на сайте исключительно с целью ознакомления читателями и не преследуют коммерческих целей или нарушение авторских прав - Пожаловаться на публикацию