Главная Случайная страница


Полезное:

Как сделать разговор полезным и приятным Как сделать объемную звезду своими руками Как сделать то, что делать не хочется? Как сделать погремушку Как сделать так чтобы женщины сами знакомились с вами Как сделать идею коммерческой Как сделать хорошую растяжку ног? Как сделать наш разум здоровым? Как сделать, чтобы люди обманывали меньше Вопрос 4. Как сделать так, чтобы вас уважали и ценили? Как сделать лучше себе и другим людям Как сделать свидание интересным?


Категории:

АрхитектураАстрономияБиологияГеографияГеологияИнформатикаИскусствоИсторияКулинарияКультураМаркетингМатематикаМедицинаМенеджментОхрана трудаПравоПроизводствоПсихологияРелигияСоциологияСпортТехникаФизикаФилософияХимияЭкологияЭкономикаЭлектроника






В терминах дифференциальных уравнений в частных производных





 

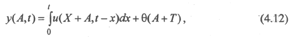
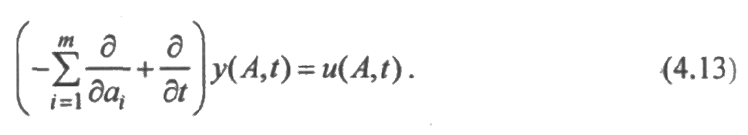
Система (4.11) может быть представлена также в виде эквивалентной системы дифференциальных уравнений в частных производных, каждое из которых является уравнением первого порядка. Для доказательства этого утверждения рассмотрим соотношение

где А = (a1, а2,..., ат), X = (х, х,..., х), Т = (t, t,..., t) — m -мерные векторы, у и и — дифференцируемые функции, зависящие от (т + 1) аргумента, θ — дифференцируемая функция т аргументов. Применяя к обеим частям (4.12) оператор дифференцирования получим:

Таким образом, из равенства (4.12) следует, что

Очевидно также, что из (4.12) при t = 0 определяется начальное условие:

Верно и обратное. Из соотношений (4.13) и (4.14) следует (4.12).

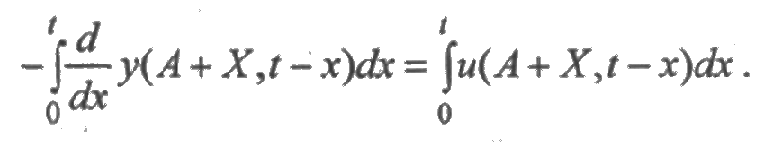
Действительно, для этого достаточно от обеих частей равенства (4.13) вычислить криволинейный интеграл вдоль прямой, определяемой параметрическими уравнениями:

В результате будем иметь

Произведя замену переменных, получим

или

Отсюда следует, что

Используя начальное условие (4.14), получим (4.12). Из равносильности соотношений (4.12) и (4.13)—(4.14) следует эквивалентность системы интегральных уравнений (4.11) и следующей системы дифференциальных уравнений:

с дополнительными начальными условиями

Произведение в правой части (4.15) распространяется на те множества индексов i, что и в (4.11), а суммирование производится по всем номерам состояний j, из которых существует одношаговый переход в состояние k.

 

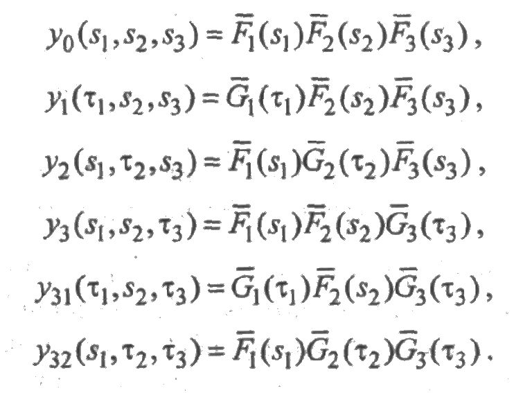
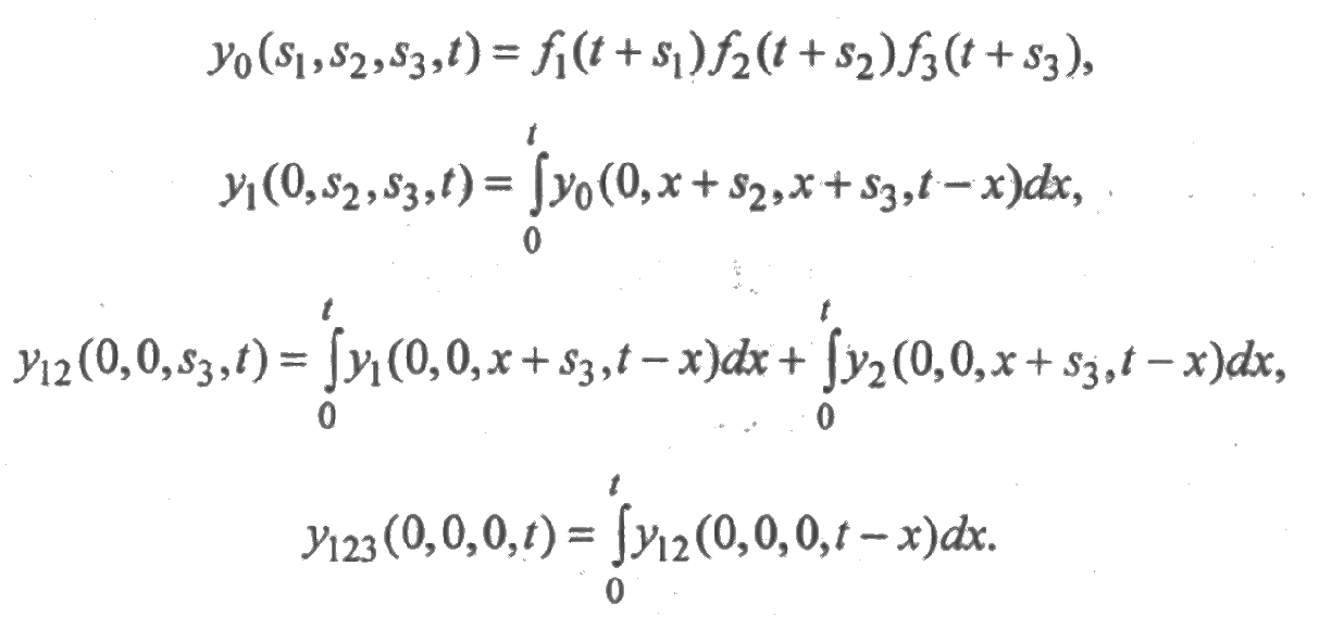
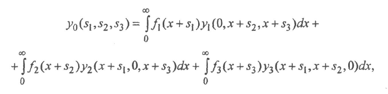
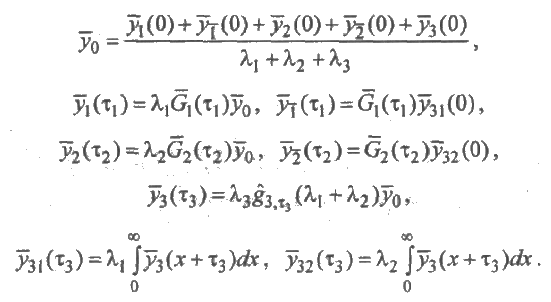
ПРИМЕР 4.5. Составить систему интегральных и дифференциальных уравнений для описания функционирования основного соединения 3-х элементов из разд. 4.2.3.

 

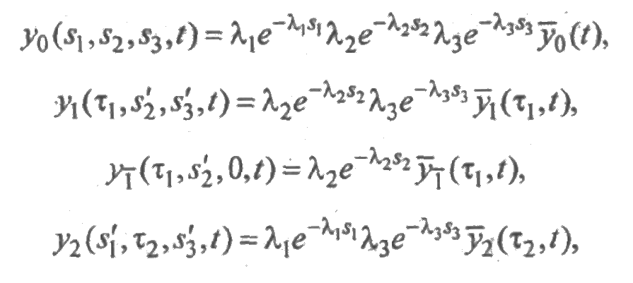
Решение. Поскольку устройство имеет 6 возможных состояний, то неизвестными в системах уравнений являются 6 функций, аргументами которых служат столбцы матрицы состояний S и время t: y0(s1,s2,s3,t), y11,s2’,s3’,t), y2(s1’2,s3’,t), y3(s1,s23’,t), y311,s2’3’,t), y32(s1’23’,t). Система инте­гральных уравнений составляется в соответствии с общей методикой по формуле (4.11), считая, что в момент времени t = 0 все элементы исправны:

Система дифференциальных уравнений составляется исходя из равенств (4.15):

а начальные условия — исходя из равенств (4.16):

Остальные функции при t = 0 равны нулю.

 

 

4.4. Модель надежности стационарного режима

 

В процессе эксплуатации технической системы ее многие временные характеристики стремятся к некоторым постоянным значениям. В этом случае говорят, что система работает в установившемся или стационарном режиме. Предположим, что функции уkk,t), описывающие функционирование системы, имеют предельные значения, и Тогда формальный переход к пределу в уравнениях (4.11) показывает, что относительно функций уkk), kϵЕ имеет место следующая система интегральных уравнений:

Система уравнений (4.17) описывает стационарный режим восстанавливаемой системы. В ней приняты те же обозначения, что и в уравнениях (4.11). Заметим, что добавочное слагаемое θk0 (Аk0,t), характеризующее начальное распределение вероятностей, стремится к нулю при t→∞, и система (4.17) его не содержит. Поэтому система уравнений (4.17) является однородной и всегда имеет тривиальное решение уk = 0. Таким образом, если уk — какое-либо ненулевое решение системы (4.17), то функции суk (с = const) также образуют решение этой системы. Поэтому решение системы (4.17) обычно определяется при дополнительном нормировочном условии: сумма вероятно­стей всех состояний равна единице.

Система дифференциальных уравнений (4.15) также может быть формально преобразована для описания стационарного режима, а именно предельный переход при t→∞ приводит к следующей системе уравнений:

Система (4.18) эквивалентна системе (4.17). Решение систем для установившегося режима обычно проще, чем решение аналогичных систем, описывающих нестационарный режим, и в некоторых случаях оно может быть получено в конечном виде. Решение приведенных систем уравнений дает возможность найти вероятности состояний в установившемся режиме, а также параметры перехода из состояния k в состояние l (k,lϵЕ):

где i0 = i0 (k,l) — номер того элемента, отказ или восстановление которого вызвал данный переход.

 

 

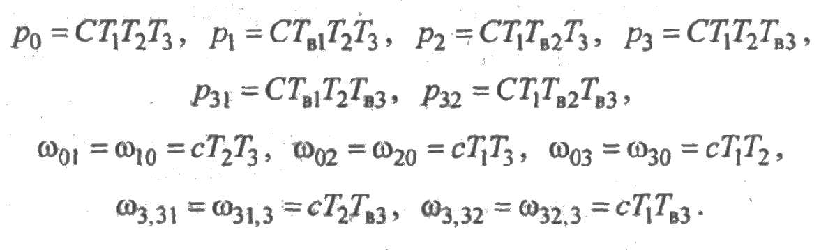
ПРИМЕР 4.6. Составить систему интегральных уравнений, описывающую стационарный режим функционирования основного соединения 3-х элементов из разд. 4.2.3.


 

Решение. В примере 4.5 приведена математическая модель функционирования рассматриваемой системы для любого момента времени t. Предельны переход при t→∞ дает математическую модель функционирования в стационарном режиме:

Непосредственной подстановкой легко проверить, что данная система имеет следующее решение:

Теперь не представляет труда определить стационарные вероятности состояний и параметры перехода из состояния в состояние с точностью до постоянного множителя С:

Постоянное число С находится из условия нормировки:

откуда

На основе полученных базовых показателей определяются основные показатели надежности, например средняя наработка на отказ

и среднее время восстановления

 

 

4.5. Модели надежности невосстанавливаемых систем

 

Оценка надежности технической системы без восстановления является значительно более простой задачей по сравнению с оценкой восстанавливаемой системы. Описание функционирования такой системы представляет собой частный случай математической модели системы при наличии восстановления.

Пусть Е — множество состояний невосстанавливаемой системы. Тогда для любого состояния kϵЕ естественным образом определяются множества Rk, Rk, Rk0, характеризующие соответственно номера работающих элементов, элементов, находящихся в состоянии простоя по причинам прерывания их функционирования, и элементов, образующих очередь на работу. При этом условно будем считать, что отказавшие элементы становятся в очередь на восстановление, и номера этих элементов образуют множество Wk0. Множества Wk и Wk, характеризующие процесс восстановления элементов, являются пустыми. Таким образом, аргументы искомых функций уk равны si, либо si, либо нулю. В графе состояний отсутствуют все переходы, соответствующие восстановлению, и все пути графа имеют конечную длину, не превышающую количество уровней графа. Соотношения (4.9) и (4.10) для вероятностей состояний и параметров переходов, а также правила составления систем интегральных и дифференциальных уравнений при этом сохраняются, но по своей форме они значительно упрощаются.

 

ПРИМЕР 4.7. Описать функционирование невосстанавливаемой системы для основного соединения 3-х элементов из разд. 4.2.3.

 

Решение. Как и прежде, устройство имеет 6 возможных состояний и 6 неизвестных функций: y0(s1,s2,s3,t), y1(0,s2’,s3’,t), y2(s1’,0,s3’,t), y3(s1,s2,0,t), y31(0,s2’,0,t), y32(s1’,0,0,t). Считая, что в момент времени t=0 все элементы исправны, будем иметь следующую систему интегральных уравнений:

Все неизвестные функции определяются последовательной подстановкой:

Далее находим вероятности состояний:

Нетрудно видеть, что сумма вероятностей равна единице, что может служить контролем правильности вычислений.

 

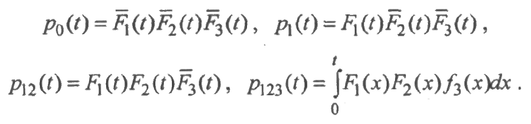
ПРИМЕР 4.8. Описать функционирование невосстанавливаемой резервированной системы при постоянном резервировании кратности т = 2 из разд. 4.2.3.

 

Решение. В графе состояний невосстанавливаемой системы отсутствуют все переходы с нижнего уровня на верхний. Мы не будем выписывать полностью систему интегральных уравнений, приведем только те уравнения, которые отвечают состояниям: 0, 1, 12, 123. Остальные уравнения составляются аналогично.


Непосредственной подстановкой найдем решение этой системы:

Определим вероятности соответствующих состояний:

Выписывая вероятности остальных состояний, можно показать, что сумма вероятностей всех состояний равна единице.

Вычислим вероятность отказа системы:

или

Следовательно, вероятность безотказной работы

 

 

4.6. Модели надежности систем при экспоненциальных законах распределения отказов и восстановлений элементов

 

Рассмотрим частный случай системы уравнений (4.15), когда времена безотказной работы и восстановления элементов имеют экспоненциальные законы распределения вероятностей. Пусть где — интенсивность отказа или восстановления i -го элемента в зависимости от того, какой смысл вкладывается в плотность распределения hi (время безотказной работы или время восстановления). Будем искать решение системы дифференциальных уравнений (4.15) в виде

где произведение распространяется на все индексы iϵRkᴗRkᴗWkᴗWkрk(t) — некоторые функции времени. Подставляя это решение в левую часть (4.15) и используя равенство —hi(x)= hi(x), получим:

Преобразуем теперь правую часть уравнения (4.15). Так как

где произведение вычисляется для всех iϵRkᴗRkᴗWkᴗWki≠i0, то правая часть (4.15) принимает вид

причем первое произведение распространяется на все индексы i, для которых вектор Аk\Аj(i0) имеет "ненулевые" компоненты, поэтому оба произведения под знаком суммы дополняют друг друга, и после их объединения получим , в котором индексы i являются номерами "ненулевых" компонент вектора Аk, т.е. iϵRkᴗRkᴗWkᴗWk. Тем самым правая часть дифференциального уравнения равна

Приравнивая левую и правую части, получим:

или

В соотношении (4.22) i = i(j,k) — номер элемента, вызвавшего переход из состояния j в состояние k. Это уравнение показывает, что функции рk(t) удовлетворяют уравнениям Колмогорова, справедливым для экспоненциальных распределений, и, следовательно, рk(t) есть вероятность пребывания системы в момент t в состоянии k. Таким образом, функции (4.21), в которых вероятности рk(t) определяются системой (4.22), являются искомым решением системы дифференциальных (и интегральных) уравнений, описывающих функционирование технической системы с экспоненциальными распределениями.

Заметим также, что если какой-либо компоненте вектора Аk с номером i1 соответствует плотность hi1, экспоненциального распределения, а остальные плотности hi, произвольные, то число аргументов функций уk уменьшается, т. к.

Это значит, что необходимость введения дополнительной компоненты в функции уk отпадает. Этим фактом можно пользоваться для уменьшения количества неизвестных, если время до отказа или время восстановления некоторых элементов системы имеет экспоненциальное распределение.


Предположим, что техническая система состоит только из элементов электроники, имеющих экспоненциальные распределения времени безотказной работы и любые распределения времени восстановления. Тогда математическая модель в виде системы интегральных уравнений значительно упрощается. Наибольшее упрощение системы уравнений происходит при полностью ограниченном восстановлении, когда неизвестные функции содержат лишь одну дополнительную компоненту.

 

 

ПРИМЕР 4.9. Описать функционирование восстанавливаемой системы из примера 4.2 при следующих условиях: время до отказа элемента имеет экспоненциальное распределение с параметром λi,, i = 1, 2, 3, а восстановление отказавших элементов производится одной ремонтной бригадой с прямым приоритетом.

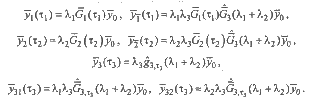
В примере будет показано принципиальное отличие анализа надежности системы в общей ситуации от случая, когда все законы распределения времени до отказа и времени восстановления элементов являются экспоненциальными. Так, например, количество состояний системы зависит от приоритета восстановления отказавших элементов. Для прямого приоритета количество возможных состояний увеличивается по сравнению с рассмотренным ранее случаем обратного приоритета обслуживания, поскольку каждое из состояний (1) и (2) приходится разбивать на два состояния.

 

 

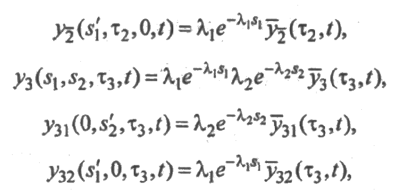
Решение. Перечислим все состояния системы:

□ (0) — все элементы исправны, А0 = (s1, s2, s 3);

□ (1)— отказал и восстанавливается 1-й элемент, другие элементы простаивают вследствие прерывания их работы, А1 = (τ1, s2, s 3);

□ () — восстанавливается 1-й элемент, 2-й элемент простаивает из-за прерывания его работы, 3-й элемент исправен, но не включен в работу, A = 1, s2, 0);

□ (2) — отказал и восстанавливается 2-й элемент, другие элементы простаивают вследствие прерывания их работы, А2 = (s1, τ2, s3);

□ () — восстанавливается 2-й элемент, 1-й элемент простаивает из-за прерывания его работы, 3-й элемент исправен, но не включен в работу, A = (s1,τ2, 0)

□ (3)— отказал и восстанавливается 3-й элемент, другие элементы продолжают работать, А3 = (s1, s2, τ 3);

□ (31) — отказал 3-й, а затем 1-й элементы, 1-й элемент находится в очереди на восстановление, 2-й элемент простаивает из-за прерывания работы, 3-й элемент восстанавливается, А4 = (0, s2, τ 3);

□ (32) — отказал 3-й, а затем 2-й элемент, 1-й элемент простаивает вследствие прерывания работы, 2-й элемент находится в очереди на восстановление, 3-й элемент восстанавливается, А5 = (s1,, 0, τ 3).

В связи с принятой дисциплиной обслуживания, когда при наличии очереди сначала восстанавливается первый отказавший элемент, граф состояний (рис. 4.6) будет другим по сравнению с графом, изображенным на рис. 4.3 для обратного приоритета.

Система интегральных уравнений также изменяется и приобретает следующий вид:

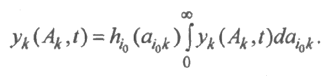
Согласно принятому допущению об экспоненциальности времен до отказа элементов, искомые функции можно представить в виде:

где функции получены из функций у путем интегрирования по всем компонентам, соответствующим экспоненциальным распределениям, например:

и т. д.

С учетом этого замечания получим следующую систему уравнений:

Если ограничиться стационарным режимом, то получим

Выразим все искомые функции через :

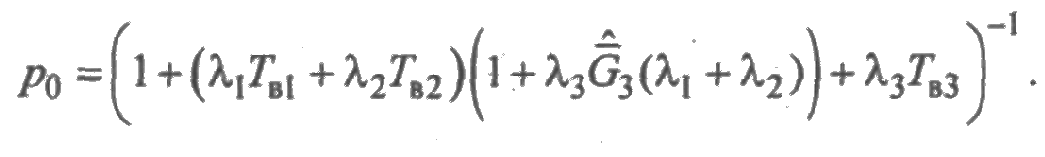
Выразим теперь вероятности всех состояний через вероятность р0 = начального состояния:

Используя условие нормировки, найдем вероятность начального состояния, являющегося в данном случае коэффициентом готовности системы:

Таким образом, показатели надежности зависят не только от моментов первого порядка, но и от закона распределения времени восстановления элементов.

 

ГЛАВА 5

МЕТОДЫ АНАЛИЗА НАДЕЖНОСТИ ТЕХНИЧЕСКИХ СИСТЕМ

Рассчитать надежность сложной системы — этозначит определить ее показатели надежности по известным показателям надежности элементов.

Существует большое количество методов расчета надежности. Основными из них являются:

□ метод, основанный на применении классических теорем теории вероятностей;

□ логико-вероятностные методы;

□ топологические методы;

□ методы, основанные на теории марковских процессов;

□ методы интегральных уравнений;

□ методы статистического моделирования.

Опишем эти методы, укажем их достоинства и недостатки.

 

 

5.1. Способы описания функционирования технических систем в смысле их надежности

Существуют следующие способы описания функционирования технической системы в смысле ее надежности:

□ структурная схема;

□ функции алгебры логики;

□ граф состояний;

□ дифференциальные и алгебраические уравнения;

□ интегральные уравнения.

Опишем эти способы и приведем примеры их использования.

 

 

5.1.1. Структурная схема системы

Каждый элемент сложной системы изображается в виде геометрической фигуры, чаще всего прямоугольника. Прямоугольники соединяют линиями таким образом, чтобы полученная структурная схема отображала условия работоспособности. В качестве примера на рис. 5.1 приведены соответственно структурные схемы нерезервированной системы, состоящей из п элементов, и системы с раздельным (поэлементным) резервированием.

Резервирование элементов осуществляется методами постоянно включенного резерва, замещением и с дробной кратностью т=1/2.

Из структурных схем наглядно видны условия работоспособности. Система на рис. 5.1, а работоспособна, если все ее элементы исправны. Отказ любого элемента нарушает работоспособность системы, наступает ее отказ. Система на рис. 5.1, б работоспособна, если исправным является элемент 1 и любой один элемент дублированных пар, а также два любых элемента из трех резервированных с дробной кратностью т = 1/2.

Высокая наглядность — основное достоинство этого метода. Его недостатком является далеко не полная информация о функционировании системы. Например, из рис. 5.1 не ясно: ремонтируемая или перемонтируемая система, дублирование осуществлено равнонадежными элементами или нет, какова дисциплина обслуживания системы, если она ремонтируемая (количество ремонтных бригад, приоритетность обслуживания), какова кратность резервирования в случае резервирования с дробной кратностью.

Эти и ряд других недостатков требуют дополнительных описаний условий работоспособности системы. Только при этих условиях можно выполнить анализ системы по критериям надежности. Следует также иметь в виду, что структурная схема не является математической моделью функционирования системы.

 

 







Date: 2015-07-17; view: 927; Нарушение авторских прав



mydocx.ru - 2015-2026 year. (0.545 sec.) Все материалы представленные на сайте исключительно с целью ознакомления читателями и не преследуют коммерческих целей или нарушение авторских прав - Пожаловаться на публикацию