Главная Случайная страница


Полезное:

Как сделать разговор полезным и приятным Как сделать объемную звезду своими руками Как сделать то, что делать не хочется? Как сделать погремушку Как сделать так чтобы женщины сами знакомились с вами Как сделать идею коммерческой Как сделать хорошую растяжку ног? Как сделать наш разум здоровым? Как сделать, чтобы люди обманывали меньше Вопрос 4. Как сделать так, чтобы вас уважали и ценили? Как сделать лучше себе и другим людям Как сделать свидание интересным?


Категории:

АрхитектураАстрономияБиологияГеографияГеологияИнформатикаИскусствоИсторияКулинарияКультураМаркетингМатематикаМедицинаМенеджментОхрана трудаПравоПроизводствоПсихологияРелигияСоциологияСпортТехникаФизикаФилософияХимияЭкологияЭкономикаЭлектроника






Выражение векторного произведения через координаты





Мы будем использовать таблицу векторного произведения векторов i, j и k:

если направление кратчайшего пути от первого вектора к второму совпадает с направлением стрелки, то произведение равно третьему вектору, если не совпадает — третий вектор берется со знаком «минус».

 

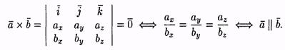
Пусть заданы два вектора а=ахi +ayj +azk и b =bxi +byj +bzk. Найдем векторное произведение этих векторов, перемножая их как многочлены (согласно свойств векторного произведения): Полученную формулу можно записать еще короче: так как правая часть равенства (7.1) соответствует разложению определителя третьего порядка по элементам первой строки.Равенство (7.2) легко запоминается.

 

7.4. Некоторые приложения векторного произведения

 

Установление коллинеарности векторов. Нахождение площади параллелограмма и треугольника

 

Согласно определению векторного произведения векторов а и b |а хb | = |а| * |b |sing, т. е. S пар = |а х b |. И, значит, DS =1/2|а х b |.

 

Определение момента силы относительно точки

 

Пусть в точке А приложена сила F =АВ и пусть О — некоторая точка пространства Из физики известно, что моментом си лы F относительно точки О называется вектор М, который проходит через точку О и:

 

1) перпендикулярен плоскости, проходящей через точки О, А, В;

 

2) численно равен произведению силы на плечо 3) образует правую тройку с векторами ОА и A В.

 

Стало быть, М=ОА х F. Нахождение линейной скорости вращения

Скорость v точки М твердого тела, вращающегося с угловой скоростью w вокруг неподвижной оси, определяется формулой Эйлера v =w хr, где r =ОМ, где О—некоторая неподвижная точка оси (см. рис. 21).







Date: 2015-05-22; view: 657; Нарушение авторских прав



mydocx.ru - 2015-2026 year. (0.079 sec.) Все материалы представленные на сайте исключительно с целью ознакомления читателями и не преследуют коммерческих целей или нарушение авторских прав - Пожаловаться на публикацию