Главная Случайная страница


Полезное:

Как сделать разговор полезным и приятным Как сделать объемную звезду своими руками Как сделать то, что делать не хочется? Как сделать погремушку Как сделать так чтобы женщины сами знакомились с вами Как сделать идею коммерческой Как сделать хорошую растяжку ног? Как сделать наш разум здоровым? Как сделать, чтобы люди обманывали меньше Вопрос 4. Как сделать так, чтобы вас уважали и ценили? Как сделать лучше себе и другим людям Как сделать свидание интересным?


Категории:

АрхитектураАстрономияБиологияГеографияГеологияИнформатикаИскусствоИсторияКулинарияКультураМаркетингМатематикаМедицинаМенеджментОхрана трудаПравоПроизводствоПсихологияРелигияСоциологияСпортТехникаФизикаФилософияХимияЭкологияЭкономикаЭлектроника






Уравнение прямой в отрезках





Если в общем уравнении прямой Ах + Ву + С = 0 С≠0, то, разделив на –С, получим: или

Геометрический смысл коэффициентов в том, что коэффициент а является координатой точки пересечения прямой с осью Ох, а b – координатой точки пересечения прямой с осью Оу.

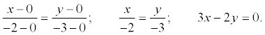
Пример. Задано общее уравнение прямой х – у + 1 = 0. Найти уравнение этой прямой в отрезках.

С = 1, , а = -1, b = 1. Нормальное уравнение прямой

Если обе части уравнения Ах + Ву + С = 0 умножить на число , которое называется нормирующем множителем, то получим

 

xcosφ + ysinφ - p = 0 –

нормальное уравнение прямой. Знак ± нормирующего множителя надо выбирать так, чтобы μ * С < 0. р – длина перпендикуляра, опущенного из начала координат на прямую, а φ - угол, образованный этим перпендикуляром с положительным направлением оси Ох.

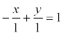
Пример. Дано общее уравнение прямой 12х – 5у – 65 = 0. Требуется написать различные типы уравнений этой прямой.

уравнение этой прямой в отрезках:

уравнение этой прямой с угловым коэффициентом: (делим на 5)

нормальное уравнение прямой:

; cos φ = 12/13; sin φ= -5/13; p = 5. C ледует отметить, что не каждую прямую можно представить уравнением в отрезках, например, прямые, параллельные осям или проходящие через начало координат.

Пример. Прямая отсекает на координатных осях равные положительные отрезки. Составить уравнение прямой, если площадь треугольника, образованного этими отрезками равна 8 см 2.

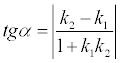
Решение. Уравнение прямой имеет вид: , ab /2 = 8; a = 4; -4. a = -4 не подходит по условию задачи. Итого: или х + у – 4 = 0. Угол между прямыми на плоскости

Определение. Если заданы две прямые y = k1 x + b1, y = k 2x + b2, то острый угол между этими прямыми будет определяться как

 

.

Две прямые параллельны, если k1 = k2. Две прямые перпендикулярны, если k1 = -1/ k2.

Теорема. Прямые Ах + Ву + С = 0 и А 1 х + В1 у + С1 = 0 параллельны, когда пропорциональны коэффициенты А1 = λА, В1 = λВ. Если еще и С1 = λС, то прямые совпадают. Координаты точки пересечения двух прямых находятся как решение системы уравнений этих прямых.

 







Date: 2015-05-22; view: 817; Нарушение авторских прав



mydocx.ru - 2015-2026 year. (0.839 sec.) Все материалы представленные на сайте исключительно с целью ознакомления читателями и не преследуют коммерческих целей или нарушение авторских прав - Пожаловаться на публикацию