Главная Случайная страница


Полезное:

Как сделать разговор полезным и приятным Как сделать объемную звезду своими руками Как сделать то, что делать не хочется? Как сделать погремушку Как сделать так чтобы женщины сами знакомились с вами Как сделать идею коммерческой Как сделать хорошую растяжку ног? Как сделать наш разум здоровым? Как сделать, чтобы люди обманывали меньше Вопрос 4. Как сделать так, чтобы вас уважали и ценили? Как сделать лучше себе и другим людям Как сделать свидание интересным?


Категории:

АрхитектураАстрономияБиологияГеографияГеологияИнформатикаИскусствоИсторияКулинарияКультураМаркетингМатематикаМедицинаМенеджментОхрана трудаПравоПроизводствоПсихологияРелигияСоциологияСпортТехникаФизикаФилософияХимияЭкологияЭкономикаЭлектроника






Порядок выполнения работы и обработка результатов измерения





 

1. Собрать электрическую цепь, как показано на рисунке 6.3. Вместо сопротивления Rx включить в цепь одну из катушек с неизвестным сопротивлением Rx 1, а в качестве источника постоянного тока использовать выпрямитель.

2. По указанию преподавателя выставить значения сопротивлений R 1 и R 2.

3. Изменяя сопротивление магазина R 0, добиться отсутствия тока в цепи гальванометра.

4. Вычислить неизвестное сопротивление Rx 1 по формуле (6.12).

5. Те же измерения произвести с другой катушкой, определить её сопротивление Rx 2.

6. Включить обе катушки в цепь сначала последовательно, а затем параллельно, и измерить указанным методом сопротивления при последовательном R посл,эксп. и параллельном R парал,эксп. соединении.

Все полученные на опыте и вычисленные результаты занести в таблицу 10.1.

 

Таблица 10.1

Измеряемое сопротивление R 0, Ом R 1, Ом R 2, Ом Rx, Ом D R, Ом
Катушка № 1            
Катушка № 2            
Катушки № 1 и № 2 включены последовательно            
Катушки № 1 и № 2 включены параллельно            

 

7. Пользуясь полученными в п.п. 1 ¸ 5 значениями сопротивлений катушек №1 и №2 по формулам для последовательного и параллельного проводников вычислить теоретические значения сопротивлений R посл,теор. и R парал,теор.

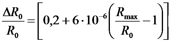
8. Вывести формулы для относительных и абсолютных погрешностей величин Rx 1, Rx 2, R посл,эксп., R парал,эксп., R посл,теор., R парал,теор. Вычислить эти погрешности. Относительная погрешность магазина сопротивлений Р33 (в процентах) вычисляется по формуле . Здесь R max – наибольшее значение сопротивления, которое можно выставить на магазине, Ом; R 0 – номинальное значение включенного сопротивления, .

9. Сравнить с учётом погрешности определённые экспериментально и теоретически рассчитанные значения сопротивления при последовательном и параллельном соединении катушек.

10. По данным о диаметре и длине проволоки, из которой намотаны катушки, рассчитать удельное сопротивление материала проволоки. По табличным данным определить металл, из которого изготовлена проволока.

Контрольные вопросы:

 

1. Что такое сила тока, напряжение?

2. Закон Ома для однородного, неоднородного участков и для полной цепи.

3. Правила Кирхгофа.

4. Измерение сопротивления с помощью амперметра и вольтметра. Недостатки этого метода измерений.

5. Вывести условие равновесия мостика Уитстона.

6. Каковы преимущества мостиковой схемы?

7. От чего зависит точность измерения сопротивлений при помощи мостиковой схемы?

8. Сопротивление проводника. Его физический смысл. От чего зависит сопротивление проволоки?

9. Удельное сопротивление проводника. Единицы измерения.

10. Параллельное и последовательное соединение проводников.

11. Во сколько раз изменится сопротивление участка цепи, если N одинаковых проводников, соединенных последовательно, соединить параллельно?

 








Date: 2015-05-22; view: 614; Нарушение авторских прав



mydocx.ru - 2015-2026 year. (1.714 sec.) Все материалы представленные на сайте исключительно с целью ознакомления читателями и не преследуют коммерческих целей или нарушение авторских прав - Пожаловаться на публикацию