Главная Случайная страница


Полезное:

Как сделать разговор полезным и приятным Как сделать объемную звезду своими руками Как сделать то, что делать не хочется? Как сделать погремушку Как сделать так чтобы женщины сами знакомились с вами Как сделать идею коммерческой Как сделать хорошую растяжку ног? Как сделать наш разум здоровым? Как сделать, чтобы люди обманывали меньше Вопрос 4. Как сделать так, чтобы вас уважали и ценили? Как сделать лучше себе и другим людям Как сделать свидание интересным?


Категории:

АрхитектураАстрономияБиологияГеографияГеологияИнформатикаИскусствоИсторияКулинарияКультураМаркетингМатематикаМедицинаМенеджментОхрана трудаПравоПроизводствоПсихологияРелигияСоциологияСпортТехникаФизикаФилософияХимияЭкологияЭкономикаЭлектроника






Методы измерения сопротивления





Для определения сопротивлений проводников существуют различные методы. Одним из распространенных методов является измерение сопротивлений с помощью вольтметра и амперметра. В этом методе сопротивление проводника определяют по закону Ома для участка цепи :

, (6.3)

где U – разность потенциалов на концах проводника,

I – сила тока в проводнике.

Сила тока измеряется амперметром, который присоединяется последовательно с неизвестным сопротивлением Rx, а разность потенциалов – вольтметром V, включенным параллельно измеряемому сопротивлению (рисунок 6.1).


Рисунок 6.1 – Схема для определения сопротивления,
если RV >> Rx

При включении вольтметра в цепь часть тока протекает через вольтметр, и амперметр покажет не ток, протекающий через сопротивление Rx, а сумму токов, протекающих через Rx и вольтметр V, т.е.

.

Вследствие этого в формулу (6.3) следует подставить не Rx, а общее сопротивление параллельно соединенных ветвей между точками 1 и 2: вольтметра RV и сопротивления Rx. Это сопротивление равно:

. (6.4)

Из формулы (10.4) видно, что , если RV >> Rx (сопротивление RV вольтметра должно быть значительно больше измеряемого сопротивления Rx).

Если это условие не выполняется, то неизвестное сопротивление определяется из соотношения (10.4):

.

Так как , то

. (6.5)

Как следует из формулы (6.5), для определения сопротивления Rx кроме тока I и напряжения U необходимо знать также и сопротивление вольтметра RV. На некоторых типах вольтметров это сопротивление указано. На многопредельных вольтметрах указывается максимальный ток I max, протекающий через прибор при отклонении стрелки на всю шкалу. Эта величина является характерной для данного прибора и не зависит от предела измерений. Сопротивление такого прибора находится как отношение:

,

где U 0 – выбранный предел измерения напряжения. На различных пределах измерения сопротивление RV различно.

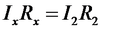
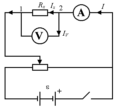
Чтобы исключить влияние вольтметра, амперметр А можно включить так, как показано на рисунке 6.2. В этом случае амперметр измеряет ток, протекающий по неизвестному сопротивлению Rx, но тогда вольтметр показывает разность потенциалов не на Rx, а сумму разностей потенциалов на Rx и на амперметре А. В этом случае отношение дает не величину Rx, а общее сопротивление R между точками 1 и 2 схемы, т.е. R = Rx + RA (RA – сопротивление амперметра).

Если RA << Rx, то общее сопротивление . Отношение даёт величину Rx тем точнее, чем сопротивление амперметра RA меньше измеряемого. В общем случае, когда о величине неизвестного сопротивления сказать ничего нельзя, расчет ведется по формуле:

.


Рисунок 6.2 – Схема для определения сопротивления,

если сравнима с .

 

Отсюда

. (6.6)

Обычно на амперметре указано или непосредственно его сопротивление RA или (если прибор многопредельный) величина разности потенциалов U max между зажимами прибора, соответствующая отклонению стрелки на всю шкалу. В последнем случае сопротивление прибора равно:

,

где I 0 – выбранный предел измерения тока.

На амперметрах с наружными шунтами также бывает указана величина U max, при делении которой на величину тока, указанного на шунте, получается сопротивление прибора вместе с шунтом.

На практике иногда не учитывают сопротивлений приборов, т.е. отношение принимают за величину неизвестного сопротивления. Систематическая ошибка, которая возникает при этом, зависит от величины измеряемого сопротивления и от сопротивлений применяемых приборов.

Как следует из рассуждений, схемы на рисунках 6.1 и 6.2 неравноценны: при одинаковых приборах схема 6.1 даёт меньшую ошибку при малом неизвестном сопротивлении, схема 6.2 – при большом. Если ошибка незначительна при измерениях токов и разностей потенциалов, то нет надобности учитывать влияние сопротивлений приборов и с достаточной степенью точности можно принять:

. (6.7)

Очень точным и весьма часто применяемым в лабораторной практике методом является метод мостика постоянного тока (мост Уитстона.).

Принципиальная схема мостика приведена на рисунке 6.3. Измеряемое сопротивление Rx и три других переменных сопротивления R 0, R 1 и R 2 соединяются так, что образуется замкнутый четырехугольник АВСD. В одну диагональ четырехугольника включён гальванометр (этот участок и является мостиком), а в другую через ключ К – источник постоянного тока e. При замыкании ключей К и К1 гальванометр показывает наличие тока Ig в цепи ДС, но можно подобрать такие сопротивления R 1 и R 2, что потенциалы точек С и Д станут равными, тогда ток в цепи гальванометра будет отсутствовать – мост уравновешен (при замыкания ключа К1 стрелка гальванометра остается на нуле).



Рисунок 6.3 – Мост Уитстона

 

В этом случае имеют место следующие соотношения:

, , (6.8)

т.е.

(6.9)

и

. (6.10)

Применяя к узлам С и D первое правило Кирхгофа, в случае отсутствия тока через гальванометр будем иметь:

, .

Деля уравнение (10.9) на уравнение (6.10) и произведя сокращение, получим:

. (6.11)

Откуда искомое сопротивление Rx равно:

. (6.12)

Соотношение (10.12) можно получить, используя правила Кирхгофа:

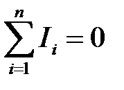
1. Первое правило Кирхгофа – алгебраическая сумма токов, сходящихся в узле, равна нулю: . Узлом называется точка, в которой сходится более, чем два проводника. Направления токов через элементы цепи выбираются произвольным образом. Ток, текущий к узлу, считается имеющим один знак (например, плюс), текущий от узла – имеющим другой знак (например, минус). Уравнения первого правила Кирхгофа можно написать для каждого из N узлов цепи, но независимыми будет только N-1 уравнение.

2. Второе правило Кирхгофа применяется для замкнутого контура электрической цепи – алгебраическая сумма произведения токов на сопротивления соответствующих участков контура равна алгебраической сумме ЭДС, встречающихся в контуре: . Для выбранного контура выбирается произвольным образом направление обхода и ток на данном участке считается положительным, если его направление совпадает с направлением обхода контура. ЭДС считается положительной, если при данном направлении обхода мы переходим внутри источника тока от отрицательного полюса источника к положительному.

Для данной электрической схемы всего должно быть составлено 6 уравнений (число уравнений определяется числом неизвестных токов). По первому правилу Кирхгофа можно составить три уравнения (4 узла) и три уравнения по второму правилу Кирхгофа,

Применим первое правило Кирхгофа к узлам С и D. Будем считать, что при замкнутом ключе К ток через гальванометр Ig направлен от точки С к точке D. Тогда имеем:

, . (6.13)

По второму правилу Кирхгофа для контуров САDС и ВСDВ (обход против часовой стрелки) получим:

, . (6.14)

При равновесии мостика Уитстона Ig = 0 и соотношения (6.13) и (6.14) примут вид:

, ,

, ,

откуда .

Метод измерения сопротивлений с помощью моста Уитстона является методом сравнения или нулевым методом, так как в этом случае производится непосредственное сравнение сопротивлений, а гальванометр используется в качестве индикатора отсутствия тока (нуль-гальванометр). Поэтому точность измерения определяется только точностью магазинов сопротивлений и чувствительностью гальванометра.

 







Date: 2015-05-22; view: 1171; Нарушение авторских прав



mydocx.ru - 2015-2026 year. (0.364 sec.) Все материалы представленные на сайте исключительно с целью ознакомления читателями и не преследуют коммерческих целей или нарушение авторских прав - Пожаловаться на публикацию