Главная Случайная страница


Полезное:

Как сделать разговор полезным и приятным Как сделать объемную звезду своими руками Как сделать то, что делать не хочется? Как сделать погремушку Как сделать так чтобы женщины сами знакомились с вами Как сделать идею коммерческой Как сделать хорошую растяжку ног? Как сделать наш разум здоровым? Как сделать, чтобы люди обманывали меньше Вопрос 4. Как сделать так, чтобы вас уважали и ценили? Как сделать лучше себе и другим людям Как сделать свидание интересным?


Категории:

АрхитектураАстрономияБиологияГеографияГеологияИнформатикаИскусствоИсторияКулинарияКультураМаркетингМатематикаМедицинаМенеджментОхрана трудаПравоПроизводствоПсихологияРелигияСоциологияСпортТехникаФизикаФилософияХимияЭкологияЭкономикаЭлектроника






Плотность потока вероятности





 

Движению микрочастицы соответствует перераспределение плотности вероятности |ψ|2 в

пространстве. Вероятность как бы перетекает из одних мест в другие. Движение частиц в пространстве характеризуется с помощью специальной величины — плотности потока вероятности, которую можно найти, опираясь на основное уравнение квантовой механики.

Определим, как изменяется величина ω=|ψ|2 с течением времени:

 

(3.9)

Из уравнения Шредингера следует выражение для производной:

Выполняя операцию комплексного сопряжения, имеем

 

 

Подстановка производных

 

в формулу (3.9) приводит к

Выражению

 

 

Легко проверить, что справедливо тождество

 

 

Поэтому формула (3.10) может быть представлена в виде

, (3.11)

где

 

 

(З.12)

Эта величина и есть вектор плотности потока вероятности, так как

выражение (3.11) совпадает по форме с законом непрерывности

тока (см. ч. III, (1.6)).

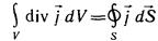
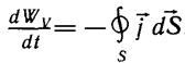
Смысл названия становится ясным, если проинтегрировать уравнение (3.11) по некоторому объему V и применить теорему Гаусса.

С одной стороны,

 

а с другой

 

 

 

Получаем равенство

 

. (3.13)

Отсюда следует, что убыль вероятности нахождения частицы в объеме V равна потоку вектора / через поверхность, ограничивающую объем.

В физике уравнения типа (3.11) выражают закон сохранения какой-нибудь величины. В данном случае речь идет о вероятности.

В силу условия нормировки количество вероятности во всем пространстве сохраняется, вероятность лишь может перераспределяться между отдельными областями.







Date: 2015-05-19; view: 2101; Нарушение авторских прав



mydocx.ru - 2015-2026 year. (0.663 sec.) Все материалы представленные на сайте исключительно с целью ознакомления читателями и не преследуют коммерческих целей или нарушение авторских прав - Пожаловаться на публикацию