Главная Случайная страница


Полезное:

Как сделать разговор полезным и приятным Как сделать объемную звезду своими руками Как сделать то, что делать не хочется? Как сделать погремушку Как сделать так чтобы женщины сами знакомились с вами Как сделать идею коммерческой Как сделать хорошую растяжку ног? Как сделать наш разум здоровым? Как сделать, чтобы люди обманывали меньше Вопрос 4. Как сделать так, чтобы вас уважали и ценили? Как сделать лучше себе и другим людям Как сделать свидание интересным?


Категории:

АрхитектураАстрономияБиологияГеографияГеологияИнформатикаИскусствоИсторияКулинарияКультураМаркетингМатематикаМедицинаМенеджментОхрана трудаПравоПроизводствоПсихологияРелигияСоциологияСпортТехникаФизикаФилософияХимияЭкологияЭкономикаЭлектроника






Оператор момента импульса





В классической механике вектор момента импульса частицы определяется следующим образом: L=rxp(Lx=ypz—zpv, Lv==zpx—xpz, Lz=xpy—ypx).

 

Тогда в соответствии со вторым утверждением пер­вой аксиомы квантовой механики оператор век­тора момента равен

 

Аналогично запишем Ly=—ih(z(d/dx)-x(d/dz)) и Lг= - ih(x(d]dy) — у(д/дх)). Значит, L =iLx + jLy + k Lz — эрмитов оператор, так как состоит из суммы

 
 

произведе­ний взаимокоммутирующих антиэрмитовых операторов ihxi и ±(dldxj), ιj, умноженных соответственно на орты i, j; k. Заметим, что в операторы компонент момен­та количества движения входят произведения коммути­рующих операторов, следовательно, оператор момента количества движения определяется однозначно.

Соотношение неопределенностей.

 
 

Дифракция электронов на щели. Сво­бодные электроны с определенным импульсом р дви­жутся в направлении оси х и описываются волной де Бройля ψ = Ce(-i//i)*(Et-px), причем ρχ=ρ, рy=0, рz= 0. Перед диафрагмой |ψ|2= |С|2 вероятность найти электрон в любой точке пространства одинакова. Факти­чески положение электрона не определено, а импульс из­вестен. В тот момент, когда электрон проходит через диафрагму, можно сказать, что неопределенность его по­ложения или, точнее, координаты y будет ограничена по­лушириной щели ∆y=d/2. Предположим, что импульс электрона после прохождения через щель меняется толь­ко по направлению, но не по величине (что имеет место лишь в том случае, если ширина щели порядка длины волны де Бройля). Найдем ∆ρν. Перед щелью ∆py=Q. После прохождения электронов через щель на экране возникает известная дифракционная картина, используя которую определим ∆ρυ. Оказывается, ∆p y ≠0.

Ограничиваясь областью, находящейся между верх­ним и нижним первыми интерференционными миниму­мами, что соответствует уменьшению действительной неопределенности ∆pv, получим ∆ρυ sin v1у=0 в силу симметрии). Из условия интерференции следует, чтo d sin v1=λ=2ηh/ρ, откуда

Так как py<=p, где р — абсолютная величина импульса, ко­торую считаем неизменной, то, казалось бы, уменьшив ширину щели до величины d<.h/p, придем к противоре­чию с соотношением неопределенностей. В действитель­ности дело обстоит так. При достаточно узких щелях импульс электрона после дифракции на щели меняется не только по направлению, но и по величине. Точный расчет согласно показал, что и в этом случае соотно­шение неопределенностей имеет место.

Соотношение неопределенностей (7.14) еще интер­претируется следующим образом: если ∆t — время, в те­чение которого произошло изменение энергии частицы, ∆Е — неопределенность изменения этой энергии, то чем больше ∆t, тем меньше ∆Е. Объясняется это тем, что при измерении изменения энергии частицы энергию взаимо­действия частицы с измерительным прибором можно учесть лишь с точностью до ∆Е ≈∙ h/∆t. Соотношение ∆E∆t>h/2 применяется также для определения порядка ширины энергетических уровней


Принцип неопределенности:

 
 

В процессе физического эксперимента, когда исследователи воздействуют на объект, обязательно возникает неопределенность в значении измеряемой величины. Речь идет не о погрешности, а о фундаментальном законе природы.

Если мы определяем положение электрона его нужно осветить квантом, который отразится от электрона, но потеряв часть своей энергии, которая переместит электрон.

6. Движение частицы в потенциальной яме конечной глубины.Потенциальная яма конечной глубины Рассмотрим поведение частицы в потенциальной яме конечной глубины U и ширины d с полной энергией E<.U. Поскольку отсчет потенциальной энергии произ­волен, начинаем его от «дна» ямы. В трех различных об­ластях (рис. 12) три

разных решения уравнения Шредингера можно записать в виде (см. (9.4) и (9.6))

Решения ψ1 и ψIII записаны с учетом того, что ψI и ψIII должны равняться нулю на бесконечности.

Не будем определять все константы А, В, С и б, ко­торые легко находятся путем «сшивания» функций ψI и ψII в точке x=—d/2, а также ψII и ψIII в точке x=d/2, а лишь пoкaжeм, что и частица, находящаяся в потенциальной яме конечной глубины, в случае E<U обладает дискретным спектром энергии.

Из условия непрерывности волновой функции и ее производной на границах I—II и II—III следует


 

 


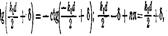
Соотношения (9.40) и (9.41) дают

 
 

Откуда б=п/2. Поэтому имеет место

 
 

Так как n=0, 1, 2,... и k, ki связаны с энергией соотношениями (9.39), условие (9.42) выполняется лишь ля дискретных значений энергии Еп. В зависимости от четности или нечетности числа п равенство (9.42) можно разбить на два: при п=2т (/η=0, 1,2,...)

при n=2m+l (m=0, 1,2,...)

 







Date: 2015-05-19; view: 737; Нарушение авторских прав



mydocx.ru - 2015-2026 year. (0.654 sec.) Все материалы представленные на сайте исключительно с целью ознакомления читателями и не преследуют коммерческих целей или нарушение авторских прав - Пожаловаться на публикацию