Главная Случайная страница


Полезное:

Как сделать разговор полезным и приятным Как сделать объемную звезду своими руками Как сделать то, что делать не хочется? Как сделать погремушку Как сделать так чтобы женщины сами знакомились с вами Как сделать идею коммерческой Как сделать хорошую растяжку ног? Как сделать наш разум здоровым? Как сделать, чтобы люди обманывали меньше Вопрос 4. Как сделать так, чтобы вас уважали и ценили? Как сделать лучше себе и другим людям Как сделать свидание интересным?


Категории:

АрхитектураАстрономияБиологияГеографияГеологияИнформатикаИскусствоИсторияКулинарияКультураМаркетингМатематикаМедицинаМенеджментОхрана трудаПравоПроизводствоПсихологияРелигияСоциологияСпортТехникаФизикаФилософияХимияЭкологияЭкономикаЭлектроника






Временное уравнение Шредингера





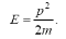
для свободной нерелятивистской частицы имеем связь между энергией и импульсом:

А с другой стороны по гипотезе де Бройля для нее имеем (kp,Erhrh=ω=)

Далее используем следующие соображения:

И сравнивая эти соотношения с (2.5.1), последнему можно сопоставить следующее равенство:

получение уравнения, а просто наводящие соображения для его написания. Шредингер написал это уравнение в 1926 году, а в 1933 году ему была присуждена Нобелевская премия "за открытие новых плодотворных направлений атомной теории".

Обобщение на трехмерный случай (свободная частица

 
 

Трехмерное уравнение Шредингера для определения волновой функции свободного движения.

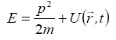
Обобщение на движение во внешних полях: исходя из того, что полная энергия равна:

можно написать аналогично

 
 

уравнение Шредингера - основное динамическое уравнение нерелятивистской волновой механики, играет такую же важную роль, как уравнения Ньютона в классической механике и уравнения Максвелла в теории электромагнитного поля. Уравнение Шредингера описывает изменение во времени поведения микрообъектов, характеризуемых волновой функцией .

Обычно вводят оператор Гамильтона - гамильтониан:

 







Date: 2015-05-19; view: 521; Нарушение авторских прав



mydocx.ru - 2015-2026 year. (0.497 sec.) Все материалы представленные на сайте исключительно с целью ознакомления читателями и не преследуют коммерческих целей или нарушение авторских прав - Пожаловаться на публикацию