Главная Случайная страница


Полезное:

Как сделать разговор полезным и приятным Как сделать объемную звезду своими руками Как сделать то, что делать не хочется? Как сделать погремушку Как сделать так чтобы женщины сами знакомились с вами Как сделать идею коммерческой Как сделать хорошую растяжку ног? Как сделать наш разум здоровым? Как сделать, чтобы люди обманывали меньше Вопрос 4. Как сделать так, чтобы вас уважали и ценили? Как сделать лучше себе и другим людям Как сделать свидание интересным?


Категории:

АрхитектураАстрономияБиологияГеографияГеологияИнформатикаИскусствоИсторияКулинарияКультураМаркетингМатематикаМедицинаМенеджментОхрана трудаПравоПроизводствоПсихологияРелигияСоциологияСпортТехникаФизикаФилософияХимияЭкологияЭкономикаЭлектроника






Лекция 5





Представление операций симметрии в виде матрицы преобразований

 

Таблица 1 полное представление и его характеры

С3v E 3 3sv
Г      

 

 

 


Для того, чтобы преобразование симметрии, выполняемое с любой молекулой характеризовать с помощью конечного числа матриц, необходимо исходные матрицы преобразовать к блочно-диагональному виду. (ненулевые элементы только на диагонали)

 

Преобразование подобия – математическое преобразование, которое не меняет смысла матрицы, шпура но приводит ее к блочно-диагональному виду.

 

Число подблоков конечно. Полное представление не меняется, шпур также остается прежним.

Непреводимые представления – набор сумм диагональных элементов подматриц, получаемых после исчерпывающего преобразования подобия, выполняемого из исходного состояния матриц операциями симметрии.

Класс операции – операции одного типа с одним и тем же характером представления

Таблица 2 Таблица характеров (выделены НП)

С3v E 3 3sv
А1      
А2     -1
Е   -1  
Г      

Элементы движения тоже описываются элементами симметрии

Н­­­20: (ось высшего порядка вдоль оси z)

С2v E C2 sv(yz) sv(xz)
A1        
A2     -1 -1
B1   -1   -1
B2   -1 -1  

 

Символы, обозначающие НП

1) Невырожденное НП, симметричное отклонение главной оси, обозначается А

2) Невырожденное НП, антисимметричное относительно главной оси, В

3) 2х вырожденное НП – Е

4) 3х вырожденное НП – Т

(4х вырожденное представление – икосаэдр)

Индексы:

1 – симметрично относительно какого-то другого элемента

2 – антисимметрично

Чтобы отличить одноименные НП по отношению к разным элементам симметрии используются индексы 3, 4, 5…

В точечных группах с горизонтальной плоскостью используются индексы ‘ и ‘’

· ‘ – симметрия относительно горизонтальной плоскости

· ‘’ – антисимметрия

Где есть центр инверсии ставят индексы g и u:

g – симметрия

u – антисимметрия

Бесконечные точечные группы C¥V и D¥h

C¥V E 2C¥ ¥sV
     
    -1
  cosj  
  cosj  
     
….. …. ..

 

D¥h E 2C¥ i 2S¥ ¥sV
         
         
         
         
         
         
         
         

 

Вторая система обозначений связана с l для линейных молекул

Лекция 6

Классификация МО по симметрии

В теории МО многоатомная молекула трактуется так же как и многоэлектронный атом, с той разницей, что молекула создает сложнее поле, зависящее от ядер и их геометрии в пространстве

Геометрию ядер можно отнести к точечной группе симметрии, а поскольку электроны движутся по всей молекуле, то и МО можно характеризовать по симметрии.

С2v E C2 sv(yz) sv(xz)
A1        
A2     -1 -1
B1   -1   -1
B2   -1 -1  

 

Групповые орбитали – линейная комбинация одноименных орбиталей разных атомов, которая выполняется для построения орбиталей, обладающих симметрией. Это промежуточный этап построения МО.

Гибридизация – математический прием, при котором берется линейная комбинация атомных орбиталей одного и того же атома с одинаковой симметрией

У гибридной орбитали нет собственного значения энергии.

Канонические МО – делокализованы, имеют конкретную энергию, являются решением уравнения Шредингера

Локализованные МО – используются для некоторых целей (для наглядности).

Не обладают симметрией, не имеют конкретной энергии.

Для определения терма

1) Записать электронную конфигурацию

2) Каждое НП возводим в степень количества электронов и меремножаем

 

Переносим 1 электрон с верхней b­­2 на a1:

Переносим 1 электрон с верхней b­­2 на b*1


* b1   -1   -1  
b2   -1 -1  
  A2     -1 -1  

С3v E 3 3sv  
А1       SN PZ
А2     -1  
Е   -1   (Px, Py)

 

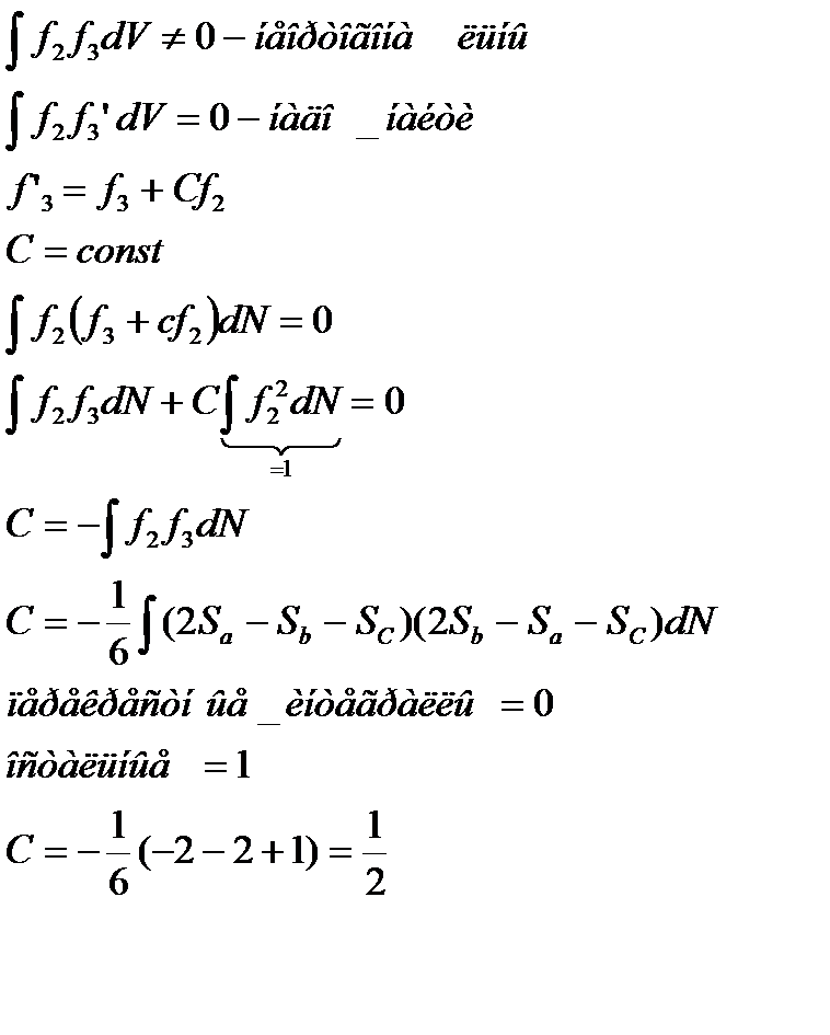
E C13 C23 s’V s’’V s’’’V
Sa Sb Sc Sa Sc Sb
Sb Sc Sa Sc Sb Sa
Sc Sa Sb Sb Sa Sc

 

После опраций симметрии берем по очереди характеры и умножаем на результаты проведения опраций симметрии, складываем произведения, отбрасываем коэффициенты, нормируем.

Для построения МО нужен набор независимых функций (ортогональных)

Ортогонализация по Шмидту:

 

Диаграммы Уолша и геометрия молекул

Диаграммы Уолша показывают изменение относительных орбитальных энергий в зависимости от симметрии молекулы

Молекулы AH2: LiH2­+, BeH2,.BH2,:CH2,.NH2, H20

 

D¥h E 2C¥ ¥ C2 i 2S¥ ¥sV
           
    -1     -1
  2cosj     -2cosj  
  2cos2j     2cos2j  
      -1 -1 -1

 

 

LiH2­+ - 2 электрона на нижней a­1 – угловая молекула

BeH2 – 4 электрона на 2х нижних s+g и s+u - линейная

BH2 - угловая

:CH2 – синглетный угловой, триплетный тоже угловой

Дальше молекулы всегда угловые

 

Лекция 7

Основы теории строения координационных соединений

1. Теория кристаллического поля (ТКП) (CFT)

2. Теория поля лигандов (ТПЛ) (LFT)

СFT

· взаимодействие между ионом комплексообразователя и лигандами чисто электростатическое

· лиганды рассматриваются как точечные отрицательные заряды, расположенные определенным образом и создающие поле определенной симметрии

· у иона комплексообразователя взаимодействуют только только d-орбитали,

При взаимодействиях лиганд-комплексообразователь в явном виде участвуют только волновые функции d-орбиталей.

Характерные симметрии комплексов:

· октаэдр О­h

· тетраэдр Td

· плоский квадрат или искаженный октаэдр D4h

Все d-орбитали четные

10Dq – энергия расщепления кристаллическим полем d – уровней

Теорема центра тяжести:

ЭСКП – энергия стабилизации кристаллическим полем (CFSE)

чаще всего определяют из спектров

Во всех случаях реализуется конфигурация с более низкой энергией

Комплексы с более чем 3-мя электронами делятся на высокоспиновые и низкоспиновые.

Высокоспиновые = комплексы слабого поля

Низкоспиновые = комплексы сильного поля

- для чисто спинового магнитного момента

Орбитальный вклад у электронов 1го переходного периода почти отсутствует

Величина зависит от заряда центрального иона и от природы лиганда. ТКП не может это объяснить. (обнаружено в спектрах поглощения)

Оказалось, что лиганды можно расположить в ряд по увеличению

Спектрохимический ряд лигандов:







Date: 2015-05-19; view: 886; Нарушение авторских прав



mydocx.ru - 2015-2026 year. (1.723 sec.) Все материалы представленные на сайте исключительно с целью ознакомления читателями и не преследуют коммерческих целей или нарушение авторских прав - Пожаловаться на публикацию