Главная Случайная страница


Полезное:

Как сделать разговор полезным и приятным Как сделать объемную звезду своими руками Как сделать то, что делать не хочется? Как сделать погремушку Как сделать так чтобы женщины сами знакомились с вами Как сделать идею коммерческой Как сделать хорошую растяжку ног? Как сделать наш разум здоровым? Как сделать, чтобы люди обманывали меньше Вопрос 4. Как сделать так, чтобы вас уважали и ценили? Как сделать лучше себе и другим людям Как сделать свидание интересным?


Категории:

АрхитектураАстрономияБиологияГеографияГеологияИнформатикаИскусствоИсторияКулинарияКультураМаркетингМатематикаМедицинаМенеджментОхрана трудаПравоПроизводствоПсихологияРелигияСоциологияСпортТехникаФизикаФилософияХимияЭкологияЭкономикаЭлектроника






Многоэлектронный атом





Точно не решается, поэтому пользуются различного рода приближениями

Орбитальное приближение Хартри

Приближение центросимметричного поля

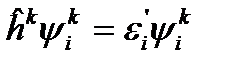
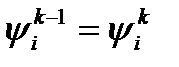
0)Берем пси нулевое

1)Решаем

2)Решаем

3) Когда решение окончено

Но здесь не учитывается спин электрона

Спин – собственный угловой момент электрона

Принцип суперпозиции – если сист. описывается двумя ВФ с одинак. энерг., то система может описываться их линейной комбинацией.

Принцип Паули – электрон должен подчиняться статистике Ферми-Дирака – при перестановке координат двух электронов ВФ меняет знак.

Проблема большая из-за электронного отталкивания.

Оба электрона не стоят на месте поэтому надо учитывать вероятность нахождения электрона, причем эта вероятность зависит от наличия другого электрона. Поэтому необходимо учитывать электронную корреляцию. Используют метод самосогласованного поля (ССП)

Межэлектронное отталкивание приводит к изменению энергии многоэл. атома и не сущ. формулы для этой энергии.

Спинорбитальное взаимодействие.

Спин электрона был обнар. в1921 г. в опытах Штерна – Герлаха. В 1925 ввели понятие спин.

Орбитальный момент может быть а может и не быть, оказалось что у электронов есть собственный угловой момент. Спин – это четвертая координата. Спин не имеет аналитического выражения и зависит от своих собств. коорд. Различают альфа +1/2 и бета -1/2 спиновые состояния.

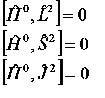
Если операторы коммутируют, то эти два св-ва могут быть одновременно измерены. Проекции угл. момента не коммутируют. Коммутируют l^2 и одна из проекций.

Спинорбит. взаим. – взаим спин. угл. мом. и орб. угл. мом. электронов в атоме осуществляемое через соотв. магнитные моменты.

Эл. ж –фактор – безразм. полож. велич., которая вводится для того чтобы привести в соответствие эксп. знач. спинового магн. мом. с тем знач., кот. получ. при помощи классич. электродинамики.

Гамельтониан спинорбитального взаимодействия:

Поскольку пот. энергия оч. сильно зависит от заряда ядра. спинорб. взаимод. увелич. с зарядом ядра. Для легких элементов СВ мало (до 30 аем)

Оказывается, когда заходит вопр о том какую схему выбр.. если спинорб. вз. слаб, то гамильтониан коммутирует и с опер. квадр. спин и орб и полного угл. момента, но если СВ сильное, то гамильтониан коммутирует только с квадратом последнего.

 







Date: 2015-05-19; view: 696; Нарушение авторских прав



mydocx.ru - 2015-2026 year. (0.796 sec.) Все материалы представленные на сайте исключительно с целью ознакомления читателями и не преследуют коммерческих целей или нарушение авторских прав - Пожаловаться на публикацию