Главная Случайная страница


Полезное:

Как сделать разговор полезным и приятным Как сделать объемную звезду своими руками Как сделать то, что делать не хочется? Как сделать погремушку Как сделать так чтобы женщины сами знакомились с вами Как сделать идею коммерческой Как сделать хорошую растяжку ног? Как сделать наш разум здоровым? Как сделать, чтобы люди обманывали меньше Вопрос 4. Как сделать так, чтобы вас уважали и ценили? Как сделать лучше себе и другим людям Как сделать свидание интересным?


Категории:

АрхитектураАстрономияБиологияГеографияГеологияИнформатикаИскусствоИсторияКулинарияКультураМаркетингМатематикаМедицинаМенеджментОхрана трудаПравоПроизводствоПсихологияРелигияСоциологияСпортТехникаФизикаФилософияХимияЭкологияЭкономикаЭлектроника






Строение молекул





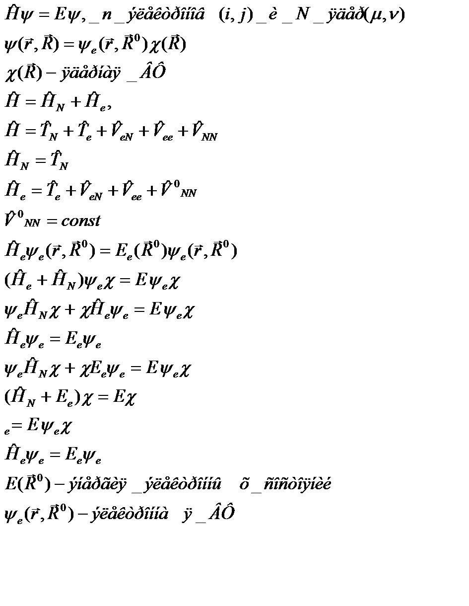
Энергия изолированной молек. может быть предст. как сумма 5 сост. (пост., вращ. эн. мол. как целого, энергия колибаний, Эн. электронов, эн. ядер.)

В приближении Борна-Оппенгеймера мы разделим ядерную и электронную части гамильтониана и будем рассматривать их отдельно.

Сущ 2 теории: теор. вал. связей и теория МО.

Теория МО

Осн. идея – молекула рассматривается как атом, т. е. предполагается наличие в молекуле орбиталей как и в атоме.

Метод линейн. комб. ат. орбит (ЛКАО)

Вариационный метод Ритца

 

Кулоновский интеграл – этоэнергия, которой обладает эл. вблизи атома мю.

Резонансный интеграл (меньше кулоновского) - энергия электрона между ядрами в области общих координат

Резонансный инт. и инт. перекрывания изменяются симбатно.







Date: 2015-05-19; view: 743; Нарушение авторских прав



mydocx.ru - 2015-2026 year. (1.269 sec.) Все материалы представленные на сайте исключительно с целью ознакомления читателями и не преследуют коммерческих целей или нарушение авторских прав - Пожаловаться на публикацию