Главная Случайная страница


Полезное:

Как сделать разговор полезным и приятным Как сделать объемную звезду своими руками Как сделать то, что делать не хочется? Как сделать погремушку Как сделать так чтобы женщины сами знакомились с вами Как сделать идею коммерческой Как сделать хорошую растяжку ног? Как сделать наш разум здоровым? Как сделать, чтобы люди обманывали меньше Вопрос 4. Как сделать так, чтобы вас уважали и ценили? Как сделать лучше себе и другим людям Как сделать свидание интересным?


Категории:

АрхитектураАстрономияБиологияГеографияГеологияИнформатикаИскусствоИсторияКулинарияКультураМаркетингМатематикаМедицинаМенеджментОхрана трудаПравоПроизводствоПсихологияРелигияСоциологияСпортТехникаФизикаФилософияХимияЭкологияЭкономикаЭлектроника






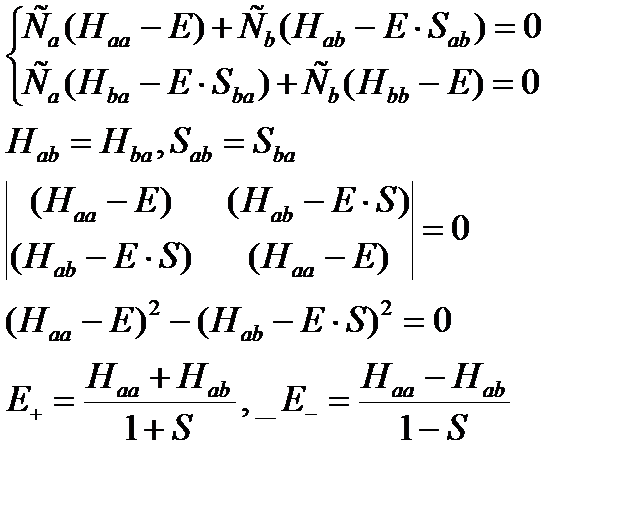
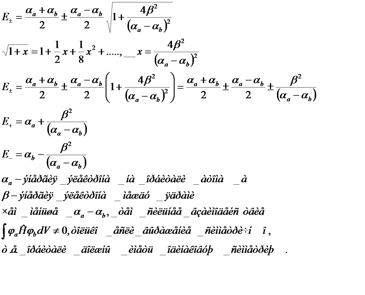
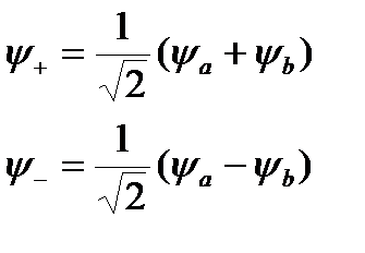
Атом водорода. Если подставить энергии в вековые уравнения при условии что , то следовательно





Если подставить энергии в вековые уравнения при условии что , то следовательно

 

Индексы: g (gerade – четный), u (ungerade – нечетный)

У линейных молекул МО могут быть описаны квантовыми числами λ и mλ.

λ характеризует проекцию орбитального углового момента электрона на ось молекулы

mλ - характеризует саму эту проекцию


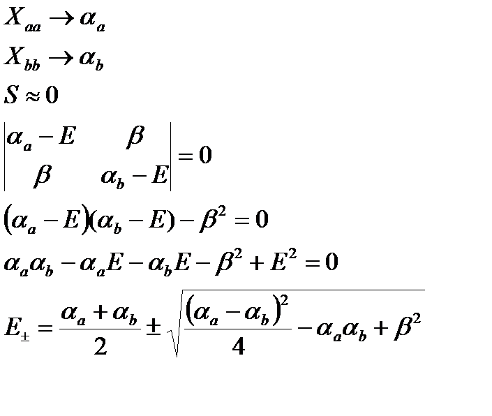
Качественная теор. МО.

Отн. энерг. опред. из след. сообр.

Орбтали близки по эн., то вклад их во взаимод. будет наибольший.

Нет смысла учит. 1)внутр. оболочки 2)заполненные оболочки 3)неодинаковые по симметрии

Перекрываются только орбитали, которые имеют одинак. симметрию по отн. к эл-там симметрии молекулы.

Термы линейных молекул

Символ определяется(?)L

Атомы
L        
  S P D F
Молекулы
L        
  S p F

 

Молекула H2

 

Значки «+» и «-» (только для S-термов) означают симметрию/антисимметрию относительно плоскости, проходящей через ось молекулы.

S - не вырождено, поэтому для него нужно доказывать

Итого:

Молекула О2

 

 

 

 

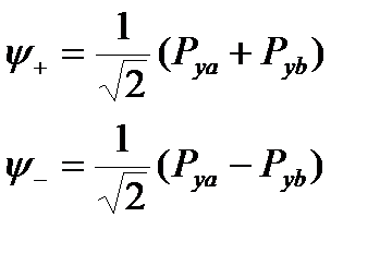
Пусть имеем 2 электрона

 

 

Гетероядерные двухатомные молекулы.

 

 







Date: 2015-05-19; view: 655; Нарушение авторских прав



mydocx.ru - 2015-2026 year. (0.569 sec.) Все материалы представленные на сайте исключительно с целью ознакомления читателями и не преследуют коммерческих целей или нарушение авторских прав - Пожаловаться на публикацию