Главная Случайная страница


Полезное:

Как сделать разговор полезным и приятным Как сделать объемную звезду своими руками Как сделать то, что делать не хочется? Как сделать погремушку Как сделать так чтобы женщины сами знакомились с вами Как сделать идею коммерческой Как сделать хорошую растяжку ног? Как сделать наш разум здоровым? Как сделать, чтобы люди обманывали меньше Вопрос 4. Как сделать так, чтобы вас уважали и ценили? Как сделать лучше себе и другим людям Как сделать свидание интересным?


Категории:

АрхитектураАстрономияБиологияГеографияГеологияИнформатикаИскусствоИсторияКулинарияКультураМаркетингМатематикаМедицинаМенеджментОхрана трудаПравоПроизводствоПсихологияРелигияСоциологияСпортТехникаФизикаФилософияХимияЭкологияЭкономикаЭлектроника






Лекция 3





Аномальный Эффект Зеемана (встречается чаще)

Вместо двух получится 10 линий.

Как видно на рисунке слева, векторы m и J неколлинеарны.

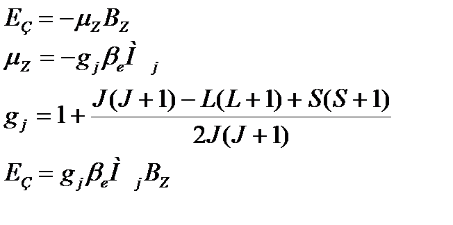
g=2.0023-обычный ж-фактор

gj-фактор Ланде, когда нет орбитального момента =2, уровень 2S1/2 расщепляется на 2. Если приложить очень сильное магнитное поле, то спинорбитальное взаимодействие может разорваться – эффект Пашена-Бака.

 

Эффект Пашена-Бака – еще один эффект, который может сопровождать эффект Зеемана. Наблюдается при приложении очень сильного поля. Если поле дост. сильное, то может разорваться спинорбтальное взаимодействие (так можно его оценивать) (можно представить как: каждый из магнитов по своему начинает взаим. с большим магн., т. е. магнитный момент, спиновый и орбитальный взаимодействуют с внешним полем по отдельности) В результате в спектре будет наблюдаться 3 линии (в аномальном эффекте Зеемана 10) как в норм. эффекте Зеемана.

Расщепление происходит одновременно по спиновому и орбитальному моменту. Поскольку расстояние между линиями одинаковое наблюдается только 3 линии в спектре.

 







Date: 2015-05-19; view: 631; Нарушение авторских прав



mydocx.ru - 2015-2026 year. (0.563 sec.) Все материалы представленные на сайте исключительно с целью ознакомления читателями и не преследуют коммерческих целей или нарушение авторских прав - Пожаловаться на публикацию