Главная Случайная страница


Полезное:

Как сделать разговор полезным и приятным Как сделать объемную звезду своими руками Как сделать то, что делать не хочется? Как сделать погремушку Как сделать так чтобы женщины сами знакомились с вами Как сделать идею коммерческой Как сделать хорошую растяжку ног? Как сделать наш разум здоровым? Как сделать, чтобы люди обманывали меньше Вопрос 4. Как сделать так, чтобы вас уважали и ценили? Как сделать лучше себе и другим людям Как сделать свидание интересным?


Категории:

АрхитектураАстрономияБиологияГеографияГеологияИнформатикаИскусствоИсторияКулинарияКультураМаркетингМатематикаМедицинаМенеджментОхрана трудаПравоПроизводствоПсихологияРелигияСоциологияСпортТехникаФизикаФилософияХимияЭкологияЭкономикаЭлектроника






Уравнения электромагнитного влияния между однопроводными линиями





3.1. Вывод основных уравнений Uсх, Icx

Ознакомившись с понятием электрического и магнитного влияния, необходимо оценить количественно значения ЭДС и токов, наводимых электромагнитным полем влияющей линии в линии, подверженной влиянию.

В таких случаях принято анализировать взаимодействие однопроводных влияющей и подверженной влиянию линий, причем, обратными влияниями часто пренебрегают, так как уровень передаваемой энергии влияющей линии на несколько порядков выше, чем линии, подверженной влиянию. В качестве влияющей линии могут быть контактная сеть электрифицированных железных дорог, одна фаза линии электропередачи; в качестве линии, подверженной влиянию, рассматриваются цепь “провод–земля” воздушной линии, “оболочка–земля” кабельной линии; цепь “жила–земля” кабеля без металлической оболочки. Примем в качестве влияющей линии контактный провод электрифицированной железной дороги переменного тока К, а в качестве подверженной влиянию – смежную линии С (однопроводную, воздушную линию), рис. 3.1.

Отметим, что взаимное расположение влияющей и подверженной влиянию линий называется "сближением" ( – длина сближения, а – ширина сближения). При а неизменной, сближение называется параллельным; если линии располагаются под углом друг к другу (ширина сближения а разная в начале и конце сближения), то такое сближение называется косым. В реальности линии на одних участках идут параллельно, на других – под углом, такое сближение называется сложным.

В общем случае напряжение и ток во влияющей линии по ее длине меняются, примем для упрощения, что напряжение Uк и ток Iк в контактной сети неизменны (вывод основных уравнений без этого допущения изложен в [1]).

Рис. 3.1. Схема сближения контактной сети К и смежной линии С

Примем также, что сближение параллельное (это значит, что коэффициенты магнитной и емкостной связи между линиями К и С одинаковы на любом отрезке), длина обеих линий К и С одинакова и равна .

Обозначим через Uсх, Iсх наведенные напряжением и током в смежной линии соответственно напряжение относительно земли и ток в линии в точке с произвольной абсциссой х (начало координат в начале линий). Полное сопротивление линии С Zc=rc+jw Lc, Ом/км, здесь rc – активное сопротивление, w – угловая частота, Lc – индуктивность линии; полная проводимость этой линии относительно земли уc=gc + jw Cc, Ом/км, где gc – активная проводимость (проводимость изоляции), w Cc – реактивная (емкостная) проводимость, Cc – емкость линии С; укс=gкc+ jw Cкс, См/км, взаимная проводимость между линиями К и С (параметр электрической связи), где gкс – активная проводимость, Cкс – емкость между этими линиями; Zкс= jw Мкс, Ом/км, сопротивление взаимной индукции (параметр магнитной связи) между линиями К и С, здесь Мкс – коэффициент взаимной индукции на единицу длины. Обычно активная проводимость намного меньше емкостной, поэтому, как и выше, принимаем уc» jw Cc, укс» jw Cкс, причем Cс – емкость смежной линии относительно земли и контактной сети, то есть Сссокс.

На бесконечно малом участке dx падение напряжения dUcx определяется двумя факторами: падением напряжения от протекания тока Icx на сопротивлении Zc dx и падением напряжения (наводимой ЭДС) от тока Iк за счет взаимной индукции, Iк Zкс dx. Напряжение Ucx больше
Ucx+ dUcx (ток Icx течет слева направо), поэтому величина dUcx должна быть отрицательной (при возрастании х Ucx убывает, приращение функции отрицательно), с учетом сказанного

. (3.1)

Неизвестны и , поэтому необходимо составить второе дифференциальное уравнение.

В линии С в сечении на расстоянии х протекает ток , в сечении на расстоянии х + dx ток равен , следовательно, изменение тока на участке dх равно . Это изменение вызвано двумя причинами: и . Ток , протекающий из линии К в линию С, будет определяться разностью напряжений (), умноженной на проводимость канала длиной d x, которая будет равна укс d x, поэтому

.

Ток протекает из линии С в землю, он будет равен

,

где – потенциал земли, = 0.

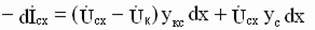
Ток увеличивает, а ток уменьшает ток в линии С, поэтому

,

или

. (3.2)

Как правило < < , поэтому величиной в скобках выражения (3.2) пренебрегают, после чего с учетом выражений (3.1), (3.2) запишем

; (3.3)

. (3.4)

Продифференцируем уравнение (3.3) по х

, отсюда . (3.5)

Перепишем уравнение (3.5) с учетом формулы (3.4)

. (3.6)

Обозначим , эта величина называется коэффициентом распространения волны в смежной линии.


Представим уравнение (3.6) в виде

. (3.7)

Решение этого линейного неоднородного уравнения второго порядка, как известно, дает

, (3.8)

где А, В, С – постоянные интегрирования, которые необходимо найти.

Из выражения (3.8)

; (3.9)

. (3.10)

Подставив значения выражений (3.10) и (3.8) в уравнение (3.7), получим

, откуда .

Обозначив уксс2 и подставив значение С в формулу (3.8), запишем

Из уравнения (3.3)

. (3.11)

Обозначив zкс/zc1 и подставив в выражение (3.11) значение
из формулы (3.9), получим

. (3.12)

Отношение ,

где – волновое сопротивление смежной линии.

Окончательно ; (3.13)

. (3.14)

Обозначим через и напряжение и ток в начале смежной линии и выразим через них постоянные интегрирования А и В.

Если х = 0 (рис. 2.7), то , ; с учетом сказанного, используя уравнения (3.13), (3.14), запишем

; (3.15)

. (3.16)

Из уравнения (3.15) , поставив это значение в формулу (3.16), получим после преобразований

; (3.17)

. (3.18)

После подстановки значений А и В в уравнения (3.13), (3.14), они предстанут в виде

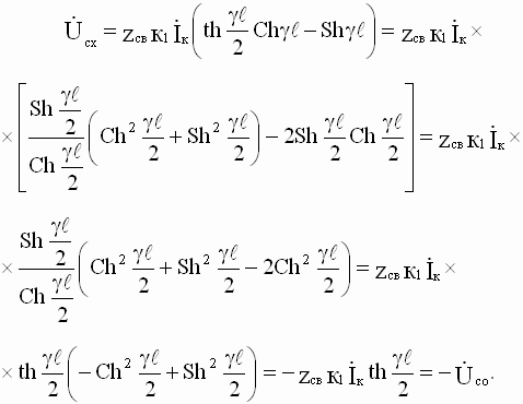
. (3.20)

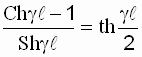
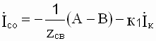
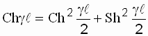
В формулах (3.19), (3.20) Shg c, Chg c соответственно гиперболические синус и косинус. Значение , получить несложно, используя режимы работы смежной линии. Например, если начало линии изолировано от земли, то = 0, если начало линии заземлено, то = 0. Таким образом, конкретные значения , найдем, анализируя конкретные режимы работы смежной линии.

3.2. Анализ кривых , при электрическом влиянии

При электрическом влиянии = 0, поэтому уравнения (3.19), (3.20) примут вид

(3.21)

(3.22)

Анализ кривых , произведем для следующих режимов работы смежной линии (рис. 3.2):

1. Линия С изолирована.

2. Линия С одним концом изолирована, другим – заземлена.

3. Линия С заземлена в начале и конце.

Рис. 3.2. Режимы работы смежной линии

Для определения , при первом режиме наметим начальные условия. Если х = 0, то = = 0, при х = = = 0, так как в изолированной линии ток в начале и конце протекать не может.

С учетом вышеизложенного, уравнение (3.22) предстанет в виде

, откуда = .

После подстановки значений = , = 0, в (3.21), (3.22) получим

= , = 0. (3.23)

Эти кривые представлены на рис. 3.3 (с индексом 1). При первом режиме наведенный потенциал смежной линии постоянен по всей длине, а ток в линии в любом сечении равен нулю.

Рис. 3.3. Кривые и при электрическом влиянии

Найдем значения и для второго режима работы смежной линии С. Для этого режима при х = 0, = = 0, а при х = , = 0 (конец линии заземлен). Подставив второе начальное условие в формулу (3.21), получим

(3.24)

Подставляя найденные значения и в формулы (3.21), (3.22), запишем окончательно

; (3.25)

. (3.26)

Задавая х значения в пределах от нуля до , строим кривые и (кривые с индексом 2 на рис. 3.3).

Докажем без вычисления, что при втором режиме будет меньше чем . Напомним, что ; если = 0, то Ch g = 1, следовательно, при > 0, Ch g > 1,

значит, скобка выражения (24) , то есть при втором режиме < .

Для третьего режима, при х = 0 и х = = = = 0.

( – напряжение в конце линии). Окончательный вид уравнений и находится самостоятельно, кривые и представлены на рис. 3.3 с индексом 3. Как показано на рисунке, при третьем режиме ток в смежной линии в начале и конце имеет разное направление. Это станет понятным, если обратиться к схеме замещения линии (рис. 3.4).


На этом рисунке емкость линии относительно земли представлена в виде большого количества элементарных конденсаторов. Максимум потенциала находится в середине линии, следовательно, через каждый конденсатор и заземления потечет ток от середины влево – одного направления, вправо – противоположного направления.

Рис. 3.4. Схема замещения смежной линии

Ток в линии определяется суммой элементарных токов, протекающих через конденсаторы, поэтому он равен нулю в середине и максимален по концам линии.

Анализ кривых и , изображенных на рис. 3.3, позволяет сделать вывод, что при электрическом влиянии самым опасным режимом работы смежной линии С является первый режим (линия изолирована от земли), так как при этом режиме напряжение относительно земли имеет максимальное значение.

3.3. Анализ кривых , при магнитном влиянии

При магнитном влиянии = 0, поэтому уравнения (3.19), (3.20) получат вид

; (3.27)

. (3.28)

Анализ кривых и произведен для тех же трех режимов работы смежной линии, представленных на рис. 3.2. Для первого режима при х = 0 и х = ток равен нулю, следовательно, = 0; второе неизвестное найдем после подстановки в формулу (3.28) значения = = 0 при х = :

, отсюда

. (3.29)

Помня, что , , , после преобразований получим , тогда

. (3.30)

После подстановки значения из (3.30) и = 0 в формулы (3.27), (3.28) будем иметь

; (3.31)

. (3.32)

Если х = 0, = ; при х =

Получим значение в середине линии, то есть при х = /2, оно будет равно

Вид кривых и для первого режима представлен на рис. 3.5 линиями с цифрой один.

Найдем значения и для второго режима работы смежной линии, при х = 0, = = 0 (начало линии изолировано); если х = , то = 0 (конец линии заземлен). Подставляя начальные условия в формулу (3.27), запишем

;

отсюда

. (3.33)

С учетом выражения (3.33) и = 0, формулы (3.27) и (3.28) примут вид

; (3.34)

. (3.35)

Чтобы построить кривую (3.34), сравним значения при первом и втором режимах. Для первого режима из выражения (3.30) ; для частоты 50 Гц величина очень мала, например, для контактного провода МФ-100 при его длине =100 км =(1,8+j6,8)10-3, 1/км, то есть < < 1. При х® 0 предел thx/x=1, поэтому . Принимая к сведению вышеизложенное, получаем

. (3.36)

После аналогичных преобразований, напряжение в начале линии при втором режиме, определяемое формулой (3.33), будет равно

(3.37)

Сравнивая Uco1 и Uco2, видим, что при втором режиме напряжение в начале линии в два раза больше, чем при первом режиме. Легко доказать, что кривую 2 (рис. 3.6, а) можно получить, если увеличить все ординаты кривой 1 на одну и ту же величину Uco1. Ток в линии, определяемый выражением (3.35), представлен кривой 2 на рис. 3.6, б. При определении U и Ico, для третьего режима учтем, что при х=0 Ucx=Uco=0 и при Ucx=0, так как начало7 и конец линии заземлены. Читателю предлагается убедиться в том, что при третьем режиме напряжение Ucx во всех точках равно нулю (кривая 3,
рис. 3.6, а), а ток по всей длине одинаков и равен (кривая 3, рис. 3.6, б). Анализ кривых (рис. 3,6, а) приводит к выводу о том, что наибольший потенциал при магнитном влиянии появляется при втором режиме работы смежной линии.


Рис. 3.6. Кривые и при магнитном влиянии

Итак, при электрическом влиянии опасное напряжение возникает при первом режиме работы смежной линии, а при магнитном влиянии – при втором режиме.







Date: 2015-05-18; view: 1339; Нарушение авторских прав



mydocx.ru - 2015-2026 year. (0.762 sec.) Все материалы представленные на сайте исключительно с целью ознакомления читателями и не преследуют коммерческих целей или нарушение авторских прав - Пожаловаться на публикацию