Главная Случайная страница


Полезное:

Как сделать разговор полезным и приятным Как сделать объемную звезду своими руками Как сделать то, что делать не хочется? Как сделать погремушку Как сделать так чтобы женщины сами знакомились с вами Как сделать идею коммерческой Как сделать хорошую растяжку ног? Как сделать наш разум здоровым? Как сделать, чтобы люди обманывали меньше Вопрос 4. Как сделать так, чтобы вас уважали и ценили? Как сделать лучше себе и другим людям Как сделать свидание интересным?


Категории:

АрхитектураАстрономияБиологияГеографияГеологияИнформатикаИскусствоИсторияКулинарияКультураМаркетингМатематикаМедицинаМенеджментОхрана трудаПравоПроизводствоПсихологияРелигияСоциологияСпортТехникаФизикаФилософияХимияЭкологияЭкономикаЭлектроника






Тема 3. Эффект Комптона





Эффектом Комптона называется изменение длины волны рентгеновского излучения при его рассеянии веществом, содержащим легкие атомы. Эффект открыл А. Комптон в 1923 году. Рассмотрим рассеяние кванта монохроматического рентгеновского излучения на неподвижном электроне (рис. 3.1).

Квант электромагнитной волны с импульсом падает на неподвижный электрон. В результате взаимодействия электрон приобретает импульс .Импульс рассеянного кванта уменьшается до . Угол α - это угол между направлениями падающего и рассеянного кванта.

 

Передвинем импульс вправо и разложим его на составляющие и в соответствии с законом сохранения импульса.

 

Длина волны рентгеновского излучения, рассеянного под углом a, больше длины волны l, падающего на вещество излучения, на величину D l, зависящую только от угла a:

(3.1)

где м - постоянная величина, называемая комптоновской длиной волны электрона. Величина D l представляет собой изменение длины волны рентгеновского излучения. Эффект Комптона не удается объяснить на основе классической волновой теории света, т.к. он является релятивистским квантовым эффектом.

Согласно квантовой теории, эффект Комптона - результат упругого столкновения рентгеновского фотона со свободным или почти свободным электроном. При этом фотон передает электрону часть своей энергии и часть своего импульса в соответствии с законами сохранения энергии и импульса.

Если первоначально электрон находился в покое, то по закону сохранения энергии можно записать

,

здесь - энергия падающего кванта рентгеновской волны, - энергия покоя электрона, - энергия рассеянного кванта.

Энергия релятивистского электрона после взаимодействия с квантом равна ; и - частоты падающего и рассеянного рентгеновского излучения, т – масса покоя электрона, Р - импульс электрона, называемого после столкновения электроном отдачи.

Запишем закон сохранения импульса, используя рис. 3.2,

или .

Возведем в квадрат

. (3.2)

Импульс фотона можно переписать в виде

, .

Подставляя формулы импульсов фотона в закон сохранения импульса, получаем

.

Перепишем закон сохранения энергии

.

Возведем в квадрат

.

Найдем квадрат импульса электрона

. (3.3)

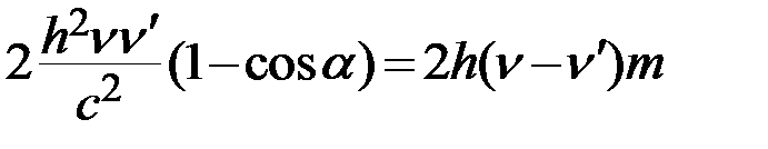
Приравняем правые части формул (3.3) и (3.2)

,

.

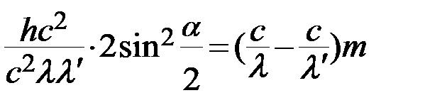
Подставим формулы частот и и после преобразований получим

.

Сокращая, можем записать

;

.

Обозначим комптоновскую длину волны электрона

, (3.4)

получим формулу изменения длины волны излучения, совпадающую с выражением (3.1)

. (3.5)

Если рассеяние происходит на протоне, то масса m в формуле (3.4) является массой покоя протона и - комптоновская длина волны протона.

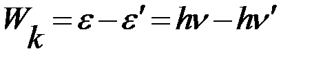
Кинетическая энергия электрона отдачи равна разности энергии падающего на вещество фотона

и энергии рассеянного фотона ,

.

Выражая частоту фотона через длину волны, можно записать

.

Заменим изменение длины волны фотона и , получим

.

Подставим формулу (3.5) изменения длины волны фотона

.

Кинетическая энергия электрона Wk максимальна при рассеянии на угол a = p и равна

.







Date: 2015-05-18; view: 989; Нарушение авторских прав



mydocx.ru - 2015-2026 year. (0.729 sec.) Все материалы представленные на сайте исключительно с целью ознакомления читателями и не преследуют коммерческих целей или нарушение авторских прав - Пожаловаться на публикацию