Главная Случайная страница


Полезное:

Как сделать разговор полезным и приятным Как сделать объемную звезду своими руками Как сделать то, что делать не хочется? Как сделать погремушку Как сделать так чтобы женщины сами знакомились с вами Как сделать идею коммерческой Как сделать хорошую растяжку ног? Как сделать наш разум здоровым? Как сделать, чтобы люди обманывали меньше Вопрос 4. Как сделать так, чтобы вас уважали и ценили? Как сделать лучше себе и другим людям Как сделать свидание интересным?


Категории:

АрхитектураАстрономияБиологияГеографияГеологияИнформатикаИскусствоИсторияКулинарияКультураМаркетингМатематикаМедицинаМенеджментОхрана трудаПравоПроизводствоПсихологияРелигияСоциологияСпортТехникаФизикаФилософияХимияЭкологияЭкономикаЭлектроника






Тема 5. Длина волны де Бройля





В 1924 году французский физик Луи де Бройль предположил, что корпускулярно-волновой дуализм присущ не только фотону, но и микрочастицам (атомам, молекулам, элементарным частицам). Это значит, что микрочастицы имеют не только корпускулярные свойства, но и волновые свойства. С движущейся частицей можно связать длину волны де Бройля

, (5.1)

где h - постоянная Планка, в знаменателе масса и скорость частицы.

Импульс тела равен , тогда длину волны де Бройля можно записать в виде

.

При большом импульсе тела длина волны де Бройля мала и не влияет на физические свойства тела. У микрочастиц (электронов и др. элементарных частиц, атомов, молекул) импульс маленький из-за малости массы частицы и длина волны достаточная для того, чтобы проявлялись волновые свойства.

У движущихся микрочастиц наблюдаются волновые явления: интерференция и дифракция.

Дифракцию электронов впервые наблюдали К. Дэвисон и Л. Джермер в 1927 году при отражении электронов от кристалла никеля. В том же году

 

 

 


П. Тартаковский и Дж.П. Томсон независимо друг от друга наблюдали дифракцию пучка электронов на металлической фольге (рис 20.1.1). Из катода К вылетают электроны, которые фокусируются с помощью анода А, и проходят сквозь металлическую фольгу М толщиной 1 мкм. В результате на фотопластинке Ф получается дифракционная картина подобная дифракционной картине световых волн (рис.20.1.2).

В опытах В. Фабриканта(1948 г.) было доказано, что волновые свойства присущи не только потоку электронов, но и одному электрону. В этих опытах пучок электронов был очень слабый, время испускания двух последовательных электронов в десятки тысяч раз было больше времени движения электрона от источника до экрана. Распределение электронов на экране было таким же, как для мощного пучка электронов.

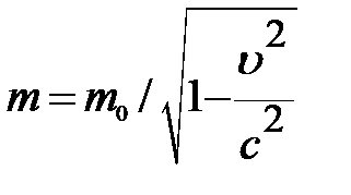
Позже наблюдали дифракцию нейтронов, протонов, атомных и молекулярных пучков. Длину волны де Бройля при движении микрочастицы с релятивистской скоростью можно получить, если учесть зависимость массы от скорости

.

Подставляя формулу массы в выражение длины волны де Бройля (5.1), получим

.

Волновые свойства микрочастиц привели к созданию электронной оптики: электронного и ионного микроскопа, электронно-оптического преобразователя.

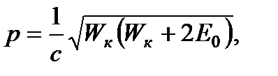
При решении некоторых задач удобно импульс р частицы выражать через ее кинетическую энергию Wк. Для релятивистского движения частицы применяют соотношение

а в классическом случае здесь Е о – энергия покоя частицы







Date: 2015-05-18; view: 1331; Нарушение авторских прав



mydocx.ru - 2015-2026 year. (0.196 sec.) Все материалы представленные на сайте исключительно с целью ознакомления читателями и не преследуют коммерческих целей или нарушение авторских прав - Пожаловаться на публикацию