Главная Случайная страница


Полезное:

Как сделать разговор полезным и приятным Как сделать объемную звезду своими руками Как сделать то, что делать не хочется? Как сделать погремушку Как сделать так чтобы женщины сами знакомились с вами Как сделать идею коммерческой Как сделать хорошую растяжку ног? Как сделать наш разум здоровым? Как сделать, чтобы люди обманывали меньше Вопрос 4. Как сделать так, чтобы вас уважали и ценили? Как сделать лучше себе и другим людям Как сделать свидание интересным?


Категории:

АрхитектураАстрономияБиологияГеографияГеологияИнформатикаИскусствоИсторияКулинарияКультураМаркетингМатематикаМедицинаМенеджментОхрана трудаПравоПроизводствоПсихологияРелигияСоциологияСпортТехникаФизикаФилософияХимияЭкологияЭкономикаЭлектроника






Методические рекомендации





Методические указания по выполнению РГР

ТЕПЛОВОЕ ИЗЛУЧЕНИЕ И

КВАНТОВАЯ МЕХАНИКА

 

 

530.145 (076.5)

М 348

министерство энергетики И УГОЛЬНОЙ

ПРОМЫШЛЕННОСТИ украины

СЕВАСТОПОЛЬСКИЙ НАЦИОНАЛЬНЫЙ УНИВЕРСИТЕТ

ЯДЕРНОЙ ЭНЕРГИИ И ПРОМЫШЛЕННОСТИ

О.В. Матузаева, Т.И. Гарматенко,

Е.В. Мирошниченко

 

Тепловое излучение и Квантовая механика

 


методические рекомендации по выполнению РГР

У т в е р ж д е н о

Ученым советом университета

Севастополь

УДК.530.145:535.1 (076.5)

530.145 (076.5)

М 348

 

О.В. Матузаева, Т.И. Гарматенко, Е.В. Мирошниченко

 

М 348 Тепловое излучение и квантовая механика:учебник-методичка. Пособие. – Ч. 2. – Севастополь: СНУЯЭиП, 2012. - с.: ил.

 

Предназначена для студентов II курса. Данное пособие включает в себя набор задач, которые полностью отражают содержание 3 семестра курса по физике по теме “Тепловое излучение. Квантовая механика”. Эти задачи предлагают для самостоятельной проработки студентами II курса очной формы обучения всех специальностей с последующей защитой у преподавателя.

Методичка изложения, характер и содержание предлагаемых задач позволяет рекомендовать пособие и для проведения практических занятий, самостоятельной работы и подготовке к экзамену по дисциплине “Физика”.

Рецензенты: доктор ф-м наук Л.В. Третьякова

к.ш.н, доцент Рипп А.Г

доцент И.Б. Стаценко

 

 

ПРЕДИСЛОВИЕ

Созданное к концу прошлого столетия здание классичес­кой физики было очень стройным. Однако в нем начали прояв­ляться слабые места. Одним из слабых мест классической физики явилась теория излучения абсолютно черного тела. Попытки построить её с помощью классических законов оказа­лись безуспешными. Дня того, чтобы решить эту проблему, пришлось коренным образом пересмотреть сложившиеся, при­вычные представления и ввести понятия, чуждые духу класси­ческой физики. Введя представление об испускании и погло­щении света отдельными порциями - квантами, Макс Планк в 1900 году решил задачу об излучении абсолютно черного тела. Таким образом, на пороге XX столетия появилось поня­тие кванта.

В 1905 г. А. Эйнштейн пошел дальше Планка. Не ограничи­ваясь постулатом квантовых свойств процессов поглощения и излучения, он предложил считать, что такие свойства при­сущи свету вообще. В соответствии с гипотезой световых квантов (фотонов), выдвинутой Эйнштейном, свет состоит из квантов (корпускул), несущих порцию энергии и летящих со скоростью света. Гипотеза световых квантов позволила Эйн­штейну объяснить, например, фотоэлектрический эффект - - явление, которое вряд ли может быть объяснено волновой теорией света.

Начало XX века характеризуется настойчивыми попытка­ми проникнуть во внутреннее строение атомов. Открытие ядра позволило Резерфорду разработать модель атома, в котором электроны вокруг ядра вращаются подобно тому, как движутся планеты вокруг Солнца. Однако такая модель не могла объяс­нить ряд экспериментальных фактов.

Излучение водородного атома имеет вид бесконечной последовательности резко выраженных спектральных линий. В атоме водорода имеется лишь один вращающийся вокруг яд­ра электрон. По законам электродинамики такой электрон должен непрерывно излучать, а стало быть терять энергию. Поэтому в процессе движения он обязан был бы неизбежно приближаться к ядру всё ближе и ближе и в конце концов упасть на него. Первоначально электрон, обладая какой-то определённой частотой, должен излучать свет именно этой частоты. Когда частота его движения плавно изменится из-за энергетических потерь, должна измениться и частота излучения. Это противоречит опытному спектру поглощения водорода, состоящего из отдельных линий поглощения.

Первый разительный успех в объяснении наблюдаемых спектров принесла теория атома, развитая Нильсом Бором в 1913 г. Однако эта теория носила явные черты непоследова­тельности: наряду о подчинением движения электрона в ато­ме законам классической механики она налагала на это дви­жение специальные квантовые ограничения. За эту непоследо­вательность теории вскоре пришлось расплатиться. После первых успехов в объяснении спектра простейшего атома - - водорода - обнаружилась неспособность теории Бора объ­яснить поведение атомов с двумя и большим числом Электро­нов.

Назрела необходимость создания новой целостной теории атомов. Начало созданию такой теории было положено в 1924г. гипотезой Луи де Бройля о том, что частицы вещества долж­ны обнаруживать при определенных условиях волновые свойст­ва. Опытное подтверждение этой гипотезы создало предпосыл­ки для создания новой физической теории- волновой или квантовой механики. Квантовая механика достигла порази^ тельных успехов в объяснении атомных процессов и строения вещества.


Каково же соотношение между квантовой и классической механикой? Квантовая механика является более общей теорией, чем механика Ньютона. Последняя содержится в ней как приб­лиженный предельный случай. Квантовая механика переходит в механику Ньютона в случае тел достаточно больших масс. Поэтому механика Ньютона, как и вся классическая физика, своего значения не утратила.

Тепловое излучение –электромагнитное излучение, испускаемое веществом и возникающее за счет его внутренней энергии.    
ОСНОВНЫЕ ФОРМУЛЫ

 

 

· Характеристики теплового излучения:
 
Энергетическая

Светимость

 


спектральная плотность энергетической

светимости

Обозначения и наименования физических величин · Rэ - энергетическая светимость тела; · Rэ* - энергетическая светимость а.ч.т. (абсолютно черное тело); · S – площадь поверхности излучателя; · Wизл – энергия излучения; · t – время излучения; · Фпогл – поток излучения поглощенный телом; · Ф0 – поток излучения, падающий на тело; · T – термодинамическая температура; · λm – длина волны, на которую приходится максимум энергии излучателя; · - максимальная спектральная. плотность энергетической светимости а.ч.т.; · - спектральная плотность энергетической светимости а.ч.т.;  
· Параметры теплового излучения:
 

Поглощательная

способность тела

 


мощность

излучения

 

Формула энергетической светимости тела

и энергетической светимостью а.ч.т.

(абсолютно черное тело)

· Законы теплового излучения:  
Закон Стефана- Больцмана


Закон смещения

Вина

Второй закон …. Вина

Закон Кирхгофа

· Физические постоянные   σ=5,67∙10-8 – постоянная … Стефана-Больцмана; b=2,9∙10-3 м∙К – постоянная Вина; С=1,3∙10-5 - постоянная, связывающая максимальную спектральную плотность энергетической светимости а.ч.т. с термодинамической температурой;

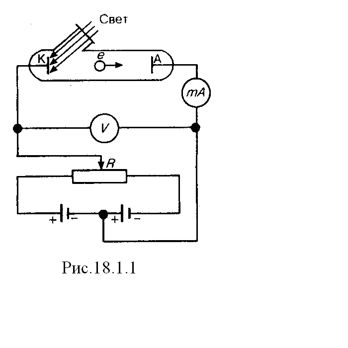
Внешний фотоэффект – явление вырывания электронов из вещества под действием падающего на него света.

· Характеристики фотона:
E=h


 

E=mc2
энергия


длина волны

 


масса

Pr=mc


импульс

 

Обозначения и наименования физических величин   · – частота света; · Qmax – максимальный заряд, переносимый. … фотоэлектронами; · n – число фотоэлектронов, вылетающих из освещаемого металла в единицу времени; · λкр – максимальная длина волны излучения, при которой еще возможен фотоэффект; · кр – минимальная частота излучения, при которой еще возможен фотоэффект; · Авых – работа выхода электрона из металла; · - кинетическая энергия электрона; · U3 – задерживающее напряжение;
· Параметры внешнего фотоэффекта:


Сила тока Насыщения

“Красная граница”

фотоэффекта

 

 

· Законы внешнего фотоэффекта:


/// Уравнение

Эйнштейна

 


работа

задерживающего

поля

· Физические постоянные   h=6,62∙10-34 Дж∙с – постоянная Планка; с=3∙108 м/с – скорость света в вакууме; e=1,6∙10-19 Кл – заряд электрона; m=9,1∙10-31 кг – масса электрона;

 

 

МЕТОДИЧЕСКИЕ РЕКОМЕНДАЦИИ







Date: 2015-05-18; view: 969; Нарушение авторских прав



mydocx.ru - 2015-2026 year. (0.527 sec.) Все материалы представленные на сайте исключительно с целью ознакомления читателями и не преследуют коммерческих целей или нарушение авторских прав - Пожаловаться на публикацию