Главная Случайная страница


Полезное:

Как сделать разговор полезным и приятным Как сделать объемную звезду своими руками Как сделать то, что делать не хочется? Как сделать погремушку Как сделать так чтобы женщины сами знакомились с вами Как сделать идею коммерческой Как сделать хорошую растяжку ног? Как сделать наш разум здоровым? Как сделать, чтобы люди обманывали меньше Вопрос 4. Как сделать так, чтобы вас уважали и ценили? Как сделать лучше себе и другим людям Как сделать свидание интересным?


Категории:

АрхитектураАстрономияБиологияГеографияГеологияИнформатикаИскусствоИсторияКулинарияКультураМаркетингМатематикаМедицинаМенеджментОхрана трудаПравоПроизводствоПсихологияРелигияСоциологияСпортТехникаФизикаФилософияХимияЭкологияЭкономикаЭлектроника






Примеры решения задач. Пример 1. Рассчитать длину волны де Бройля для электрона, прошедшего ускоряющее поле с разностью потенциалов 100 в





 

Пример 1. Рассчитать длину волны де Бройля для электрона, прошедшего ускоряющее поле с разностью потенциалов 100 В.

 

Дано: U=100 B

Найти: λ-?

Решение

Длину волны де Бройля движущегося электрона можно определить по формуле

. (1)

Для решения задачи необходимо сравнить кинетическую энергию электрона с его энергией покоя Е о

 

Кинетическая энергия электрона много меньше энергии покоя электрона Wк << E o, поэтому для решения задачи можно использовать формулы классической механики.

В случае, когда кинетическая энергия частицы больше её энергии покоя , необходимо учитывать зависимость массы от скорости и пользоваться формулами релятивистской механики.

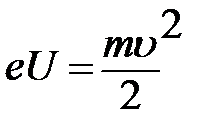
Электрон, прошедший разность потенциалов 100 В, приобретает кинетическую энергию за счет работы электрического поля, поэтому можно записать

. (2)

 

Из формулы (5.3) находим скорость

 

. (3)

Подставим выражение (3) в формулу (1)

 

.

 

Проводя преобразования, получим расчетную формулу длины волны де Бройля для электрона

 

.

Вычисления:

= 1,2∙10-8м.

 

Ответ: λ=1,2∙10-8м.

 

 

Пример 2. Вычислить длину волны де Бройля для протона, движущегося со скоростью 0,6с (с – скорость света в вакууме).

 

Дано:

Найти:

  Длина волны для протона определяется по формуле де Бройля .
Решение

При движении частицы со скоростью близкой к скорости света необходимо учесть, что релятивистская масса зависит от скорости .

Подставляя выражение

.

Вычисления: λ= = 1,76∙10-15 м

Ответ: 1,76∙10-15 м.

Пример 3. Электрон движется по окружности радиусом 0,5 см в однородном магнитном поле с индукцией 0,008 Тл. Определить длину волны де Бройля электрона.

Дано:R=0.5см B=0,008Тл

Найти:

Решение

Дебройлевскую длину волны микрочастицы определяют по формуле

Радиус круговой орбиты электрона, движущегося в магнитном поле равен

.

Определим скорость частицы

и, подставляя ее в формулу, получаем

.

Вычисления: λ = = 10-10 м

Ответ: =10-10 м.

 

Пример 4. Найти длину волны де Бройля для атома водорода, движущегося при температуре 293 К с наиболее вероятной скоростью.

Дано: Т=293 К = кг/моль

Найти:







Date: 2015-05-18; view: 15073; Нарушение авторских прав



mydocx.ru - 2015-2026 year. (1.133 sec.) Все материалы представленные на сайте исключительно с целью ознакомления читателями и не преследуют коммерческих целей или нарушение авторских прав - Пожаловаться на публикацию