Главная Случайная страница


Полезное:

Как сделать разговор полезным и приятным Как сделать объемную звезду своими руками Как сделать то, что делать не хочется? Как сделать погремушку Как сделать так чтобы женщины сами знакомились с вами Как сделать идею коммерческой Как сделать хорошую растяжку ног? Как сделать наш разум здоровым? Как сделать, чтобы люди обманывали меньше Вопрос 4. Как сделать так, чтобы вас уважали и ценили? Как сделать лучше себе и другим людям Как сделать свидание интересным?


Категории:

АрхитектураАстрономияБиологияГеографияГеологияИнформатикаИскусствоИсторияКулинарияКультураМаркетингМатематикаМедицинаМенеджментОхрана трудаПравоПроизводствоПсихологияРелигияСоциологияСпортТехникаФизикаФилософияХимияЭкологияЭкономикаЭлектроника






Тема 4. Строение атома





В 1911 году в лаборатории Э. Резерфорда при исследовании рассеяния альфа-частиц в веществе было открыто ядро атома.

На основании своих исследований Резерфорд в 1911 г. предложил ядерную (планетарную) модель строения атома. В центре атома находится положительно заряженное ядро, вокруг которого движутся электроны. Размеры атома ~ 10-10 м, размеры ядра rя ~ 10-15 м.

Ядро состоит из протонов и нейтронов. Нейтрон не имеет электрического заряда. Заряд протона равен + е, здесь е - элементарный электрический заряд. В ядре находится N протонов, поэтому заряд ядра равен + , где N - порядковый номер элемента в таблице химических элементов Д.И. Менделеева.

В нейтральном атоме вокруг ядра движутся N электронов.

В 1913 году Н. Бор разработал теорию строения атома водорода и водородоподобных атомов (содержащих один электрон: …).

Основу теории Бора составляют два постулата.

1. Существуют такие стационарные состояния атома, в которых он не излучает энергию. Стационарными являются состояния, для которых момент импульса электрона кратен постоянной Планка,

ħ. (4.1)

Здесь ħ = называется постоянной Планка, как и h; n -главное квантовое число, которое принимает целые значения n = 1, 2, 3,...

2. При переходе из одного стационарного состояния в другое атом излучает или поглощает квант энергии

.

- энергии электрона, находящегося в стационарных состояниях. Рассмотрим теорию строения водородоподобного атома по Бору.

На электрон, движущийся в атоме вокруг ядра, действует электрическая (кулоновская) сила притяжения к ядру (рис. 4.1). Запишем второй закон Ньютона для электрона в атоме

.

Подставим кулоновскую силу притяжения электрона к ядру в атоме

и нормальное ускорение

,

во второй закон Ньютона, получим

.

. (4.2)

 

Из формулы первого постулата Бора (4.1) найдем скорость электрона

, (4.3)

подставим ее в соотношение (4.2) и учтем ε=1

.

Получим радиус орбиты электрона

. (4.4)

 

В атоме водорода один протон Z = 1; для первой орбиты электрона n=1

= 0,53 м (радиус первой боровской орбиты);

=2,1 м, = 4,8 м, …, .

Определим скорость электрона в атоме, подставив в формулу (4.3) радиус орбиты электрона (4.4),

;

.

В атоме водорода для n = 1 скорость электрона = 2,2 м/с.

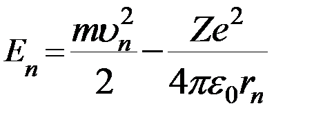
Полная энергия электрона в атоме равна сумме кинетической и потенциальной энергии

.

 

Заменяя кинетическую энергию по формуле (4.2), можно записать

;

.

 

Подставим в формулу радиус орбиты, получим энергию электрона в водородоподобном атоме

.

В атоме водорода энергия электрона равна: .

 

Энергия электрона отрицательна, т.к. он находится в атоме в связанном состоянии

= − 13,55 эВ; = − 3,39 эВ;

= − 1,5 эВ, …, .

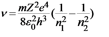
Определим частоту излучения кванта энергии водородоподобным атомом

; ;

.

Обозначим постоянную Ридберга для водорода

.

после вычислений получим значение .

Для частоты кванта после введения постоянной можно записать

.

Для атома водорода заряд ядра

(4.5)

Формула (4.5) называется обобщенной формулой Бальмера.

Учитывая , получаем обобщенную формулу Бальмера для длины волны

,

где м-1 также называется постоянной Ридберга, ,

.

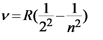
Изучение спектров разреженных газов обнаружили, что у каждого газа свой линейчатый спектр, состоящий из отдельных спектральных линий. И. Бальмер подобрал формулу, расчеты, по которой совпадают с экспериментальными значениями длин волн, соответствующих спектральным линиям атома водорода в видимой области спектра

(рис. 4.2)

, n = 3, 4, 5,...

 

Формулу можно записать для частоты волны, учитывая ,

.

 

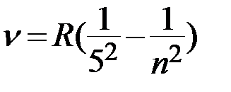
Спектральные линии, отличающиеся значениями п, образуют группу линий, которая называется серией Бальмера.

 

Спектральные линии ультрафиолетовой области излучения атома водорода составляют серию Лаймана:

, n = 2, 3, 4,…

 

В инфракрасной области спектра водорода были открыты:

- серия Пашена

, n = 4, 5, 6…;

 

- серия Брэкета

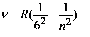
, n = 5, 6, 7…;

- серия Пфунда

, n = 6, 7, 8…;

- серия Хемфри

, n = 7, 8, 9…

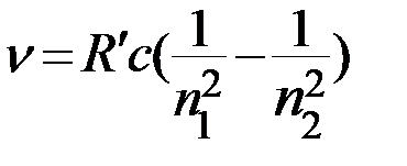
Все серии спектральных линий атома водорода можно представить в виде одной формулы - обобщенной формулы Бальмера

,

здесь число определяет серию и принимает значения = 1, 2, 3, …,а

число соответствует отдельным линиям серии и принимает целые значения от + 1 и выше.

Энергия излучения кванта света при переходе электрона из одного энергетического состояния в другое в атоме водорода равна


.

При ионизации атом теряет электрон, тогда и для энергии ионизации атома водорода с учетом = 1 получаем значение

эВ.

Энергия ионизации водородоподобного атома равна

.

Энергия атома, выраженная через энергию ионизации, имеет следующий вид:

.

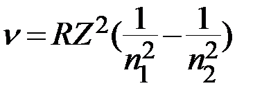
Для водородоподобного атома необходимо учесть заряд ядра Z, получаем частоту излучения

или .

 







Date: 2015-05-18; view: 1259; Нарушение авторских прав



mydocx.ru - 2015-2026 year. (0.842 sec.) Все материалы представленные на сайте исключительно с целью ознакомления читателями и не преследуют коммерческих целей или нарушение авторских прав - Пожаловаться на публикацию