Главная Случайная страница


Полезное:

Как сделать разговор полезным и приятным Как сделать объемную звезду своими руками Как сделать то, что делать не хочется? Как сделать погремушку Как сделать так чтобы женщины сами знакомились с вами Как сделать идею коммерческой Как сделать хорошую растяжку ног? Как сделать наш разум здоровым? Как сделать, чтобы люди обманывали меньше Вопрос 4. Как сделать так, чтобы вас уважали и ценили? Как сделать лучше себе и другим людям Как сделать свидание интересным?


Категории:

АрхитектураАстрономияБиологияГеографияГеологияИнформатикаИскусствоИсторияКулинарияКультураМаркетингМатематикаМедицинаМенеджментОхрана трудаПравоПроизводствоПсихологияРелигияСоциологияСпортТехникаФизикаФилософияХимияЭкологияЭкономикаЭлектроника






Примеры решения задач. Пример 1. Определить частоту электромагнитного излучения при переходе электрона в атоме водорода с третьего энергетического уровня на второй





Пример 1. Определить частоту электромагнитного излучения при переходе электрона в атоме водорода с третьего энергетического уровня на второй.

Дано: n=3; .

Найти:

Решение

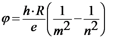
Частота электромагнитного излучения при переходе атома из одного энергетического состояния в другое определяется обобщенной Формулой Бальмера

.

Постоянная Ридберга равна R =3,29· .

 

По условию задачи атом водорода переходит из состояния с главным квантовым числом n = 3 в состояние с m = 2. Подставляя числовые значения, получают:

ν= 3,29∙1015∙( - )=4,6∙1014 с-1

Ответ: ν = 4,6∙1014 с-1.

 

Пример 2. Найти наибольшую и наименьшую длины волн спектральных линий водорода в серии Бальмера.

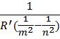
Дано: R’=1,1∙107 с-1

Найти:

Решение

Длина волны , излучаемого атомом кванта энергии определяется по формуле: ,

где R’=1,1∙107 с-1 - постоянная Ридберга, m и n - главные квантовые числа

λ=

Наибольшая длина волны в серии Бальмера наблюдается при переходе электронов с третьего энергетического уровня, на второй, значит m=2,n=3

λmax= = 6,5∙10-7 м

Наименьшая длина волны излучается атомом при переходе электрона с энергетического уровня, соответствующего квантовому числу n1 = ∞ на второй энергетический уровень n2 = 2

λmin = = 3,6∙10-7 м

Ответ: λmax= 6,5∙10-7 м; λmin = 3,6∙10-7 м

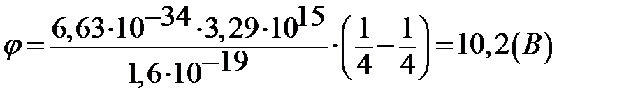
Пример 3. Найти первый потенциал возбуждения атома водорода.

Дано:

Найти

Решение

Основным состоянием атома водорода называют состояние с m=1, а возбужденным с .

Энергия, соответствующая переходу атома из одного энергетического состояния в другое, определяется по формуле

(4.6)

Эту энергию сообщит атому электрон при столкновении, предварительно ускоренный электрическим полем с потенциалом , тогда энергия электрона будет равна

, (4.7)

где е - элементарный заряд.

Сравнивая формулы (4.6) и (4.7),получаем выражение для потенциала

Вычисления: .

Ответ: .

 

ЗАДАЧИ

1. В инфракрасной серии Пашена спектра водорода рассчитать наибольшую и наименьшую длину волны.

2. Определить длину волны кванта, излучаемого ионом лития (Li++) при переходе электрона со второго энергетического уровня на первый.

3. Определить в ультрафиолетовой серии Лаймана спектра водорода наименьшую и наибольшую длину волны.

4. Рассчитать потенциал ионизации иона гелия (Не+).

5. В серии Бальмера спектра водорода рассчитать наименьшую и наибольшую частоту волны.

6. Электрон в атоме водорода перешел с четвертого энергетического уровня на второй. Определить энергию испущенного при этом фотона.

7. Рассчитать энергию кванта электромагнитной волны, излучаемого при переходе электрона с третьего энергетического уровня на первый в атоме водорода.

8. Вычислить максимальную энергию фотона в спектре излучения иона лития (Li++).

9. Рассчитать энергию кванта электромагнитной волны, излучаемого ионом гелия при переходе электрона с третьего энергетического уровня на первый.

10. Рассчитать энергию кванта электромагнитной волны, излучаемого ионом гелия при переходе электрона со второго энергетического уровня на первый.

11. Вычислить энергию ионизации атома водорода.

12. Вычислить энергию ионизации иона гелия (Не+).

13. Найти потенциал ионизации атома водорода.

14. Определить длину волны кванта, излучаемого ионом гелия (Не+) при переходе электрона со второго энергетического уровня на первый.

15. В инфракрасной серии Пашена спектра водорода рассчитать наименьшую и наибольшую частоту волны.

16. Вычислить радиус первой боровской орбиты электрона в атоме водорода.

17. Рассчитать скорость электрона, находящегося на первой боровской орбите в атоме водорода.

18. Определить длину волны, соответствующую границе серии Лаймана.

19. Вычислить энергию ионизации иона лития (Li++).

20. Определить первый потенциал возбуждения двукратно ионизированного лития (Li++).

21. Рассчитать длину волны кванта, излучаемого при переходе электрона с третьего энергетического уровня на первый в атоме водорода.

22. Найти длину волны второй спектральной линии в серии Пашена.

23. Определить частоту кванта электромагнитной волны, излучаемого при переходе электрона с четвертого энергетического уровня на второй в атоме водорода.

24. Вычислить максимальную энергию фотона в спектре излучения иона лития (Li++).

25. Рассчитать частоту фотона, излучаемого при переходе электрона с третьего энергетического уровня на второй в атоме водорода.


26. Рассчитать длину волны кванта, излучаемого ионом гелия при переходе электрона с третьего энергетического уровня на первый.

27. Рассчитать частоту кванта электромагнитной волны, излучаемого ионом гелия при переходе электрона со второго энергетического уровня на первый.

28. В каких пределах должна находиться частота света, чтобы при возбуждении атомов водорода квантами этого света наблюдались три спектральные линии?

29. Определить энергию кванта, излучаемого при переходе электрона с четвертого энергетического уровня на третий в атоме водорода.

30. Вычислить максимальную энергию фотона в спектре излучения иона гелия (Не+).

 







Date: 2015-05-18; view: 9712; Нарушение авторских прав



mydocx.ru - 2015-2026 year. (0.474 sec.) Все материалы представленные на сайте исключительно с целью ознакомления читателями и не преследуют коммерческих целей или нарушение авторских прав - Пожаловаться на публикацию