Главная Случайная страница


Полезное:

Как сделать разговор полезным и приятным Как сделать объемную звезду своими руками Как сделать то, что делать не хочется? Как сделать погремушку Как сделать так чтобы женщины сами знакомились с вами Как сделать идею коммерческой Как сделать хорошую растяжку ног? Как сделать наш разум здоровым? Как сделать, чтобы люди обманывали меньше Вопрос 4. Как сделать так, чтобы вас уважали и ценили? Как сделать лучше себе и другим людям Как сделать свидание интересным?


Категории:

АрхитектураАстрономияБиологияГеографияГеологияИнформатикаИскусствоИсторияКулинарияКультураМаркетингМатематикаМедицинаМенеджментОхрана трудаПравоПроизводствоПсихологияРелигияСоциологияСпортТехникаФизикаФилософияХимияЭкологияЭкономикаЭлектроника






Технические характеристики БМС





– масса – 60 кг

– габариты – 1100x550x2000 мм

– длина хода упругого элемента – 150 мм

– масса сменных грузов – 4 кг

– давление воздуха в мишени – 60 мм рт. ст.

– угол наклона оси стержня к горизонт ± 90°

– угол качания оси стержня ± 15°

– положение ударного модуля над уровнем пола – от 150 до 1850 мм

Применение БМС позволило получать следующие показатели силы прямого удара рукой:

1. Время реакции - фиксируется время от начала подачи сигна­ла до момента начала удара. Чем меньше показатель, тем лучше реакция. Измеряется в миллисекундах (мс).

2. Максимальная сила - фиксируется максимальное приложе­ние силы к мишени в момент удара. Чем больше показатель, тем лучше результат. Измеряется в килограммах (кг).

3. Время нарастания максимальной силы удара - фиксируется время от начала подачи сигнала до момента касания мишени ку­лаком. Чем меньше время, тем лучше показатель. Измеряется в миллисекундах (мс).

4. Импульс удара - определяется площадью, обозначенной на графике точками: начала удара, максимальной силы и времени максимальной силы. Чем меньше этот показатель, тем лучше концентрация удара. Измеряется в килограммах в секунду (кг/с) (рис. 1).

5. Время импульса удара - определяется площадью, обозначен­ной на графике: точкой начала удара, точкой максимальной силы и точкой окончания удара. Чем меньше этот показатель, тем силь­нее удар (рис. 2). Измеряется в миллисекундах (мс).

 

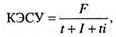
Из перечисленных показателей мы выделим четыре, которые непосредственно отражают скоростно-силовые характеристики удара: максимальной силы, времени нарастания максимальной силы, импульса и времени импульса. Все они взаимозависимы друг от друга и каждый по-своему влияет на эффективность силы удара. Поэтому мы определяли эффективность каждого показате­ля в отдельности и влияние их друг на друга, а также на их основе определили формулу вычисления комплексного показателя, ха­рактеризующего эффективность силы удара, который назвали коэффициентом эффективности силы удара (КЭСУ) [55].

где КЭСУ - коэффициент эффективности силы удара; F - макси­мальная сила удара; t - время нарастания максимальной силы удара; I - импульс удара; ti - время импульса удара.

В процессе педагогического эксперимента применялись два вида динамометров:

– динамометр ручной плоскопружинный ДРП-120 - предназ­начен для измерения мышечной силы кисти человека;

– динамометр ДС-500 - предназначен для измерения становой силы.

Технические характеристики ДРП-120

– диапазон измерения – от 20 до 120 кгс

– цена деления шкалы – 20 кгс

– предельно допустимые погрешности ± 4,0 кгс

– габаритные размеры – 130 х 57 х 18 мм

– масса – не более 0,25 кг

Технические показатели ДС-500

– диапазон измерения:

– нижний предел – 50 кгс

– верхний предел – 500 кгс

– цена делений шкалы – 5 кгс

– погрешность показаний при возрастающих нагрузках – не более ±15 кгс

– разность показаний при возрастающих и убывающих нагрузках – не более 30 кгс

– масса динамометра – не более 1,8 кг

– габаритные размеры – 257 х 257 х 257 мм







Date: 2015-05-04; view: 604; Нарушение авторских прав



mydocx.ru - 2015-2026 year. (0.627 sec.) Все материалы представленные на сайте исключительно с целью ознакомления читателями и не преследуют коммерческих целей или нарушение авторских прав - Пожаловаться на публикацию