Главная Случайная страница


Полезное:

Как сделать разговор полезным и приятным Как сделать объемную звезду своими руками Как сделать то, что делать не хочется? Как сделать погремушку Как сделать так чтобы женщины сами знакомились с вами Как сделать идею коммерческой Как сделать хорошую растяжку ног? Как сделать наш разум здоровым? Как сделать, чтобы люди обманывали меньше Вопрос 4. Как сделать так, чтобы вас уважали и ценили? Как сделать лучше себе и другим людям Как сделать свидание интересным?


Категории:

АрхитектураАстрономияБиологияГеографияГеологияИнформатикаИскусствоИсторияКулинарияКультураМаркетингМатематикаМедицинаМенеджментОхрана трудаПравоПроизводствоПсихологияРелигияСоциологияСпортТехникаФизикаФилософияХимияЭкологияЭкономикаЭлектроника






Аппроксимация законов движения с ускорением





Разгон с постоянным ускорением – установившееся движение (с постоянной скоростью) – торможение с постоянным ускорением. Это – движение с четырьмя «мягкими» ударами (рис. П4).

Рис. П4. Законы изменения параметров движения при a (t) = const

Если заданы перемещение S, время разгона t р, время установившегося движения t у, время торможения t т, то:

перемещения при разгоне, движении с постоянной скоростью, торможении

(П.13)

максимальная скорость

(П.14)

ускорения при разгоне и торможении

(П.15)

Если заданы перемещение S, ускорение a р = a т = a и время T перемещения на величину хода, то максимальная скорость:

(П.16)

а если заданы S, V и a, то время перемещения

(П.17)

Разгон – установившееся движение – торможение с ускорениями, изменяющимися по закону a (t) = a× sinw t. Это – безударное управляемое движение (рис. П5).

Рис. П5. Законы изменения параметров движения при a (t) = a× sinw t

текущее ускорение звена

на участке разгона

a (t) = a рsinw1 t, (П.18)

 

на участке торможения

a (t) = a тsinw2 t, (П.19)

где w1, w2 – круговые частоты на участках разгона и торможения;

w1 = 2p f 1 = p/ t р, w2 = 2p f 2 = p/ t т.

текущая скорость звена

на участке разгона

(П.20)

на участке торможения

(П.21)

на участке установившегося движения

v (t) = V.

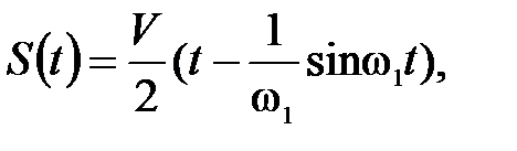
текущее перемещение звена S (t) = ò v (t) dt

на участке разгона

(П.22)

на участке торможения

(П.23)

на участке установившегося движения S (t) = Vt.

Если заданы перемещение S, время движения T, время разгона t р и время торможения t т, то

максимальная скорость

(П.24)

максимальное ускорение на участке разгона

(П.25)

максимальное ускорение на участке торможения

(П.26)







Date: 2015-09-24; view: 739; Нарушение авторских прав



mydocx.ru - 2015-2026 year. (1.231 sec.) Все материалы представленные на сайте исключительно с целью ознакомления читателями и не преследуют коммерческих целей или нарушение авторских прав - Пожаловаться на публикацию