Главная Случайная страница


Полезное:

Как сделать разговор полезным и приятным Как сделать объемную звезду своими руками Как сделать то, что делать не хочется? Как сделать погремушку Как сделать так чтобы женщины сами знакомились с вами Как сделать идею коммерческой Как сделать хорошую растяжку ног? Как сделать наш разум здоровым? Как сделать, чтобы люди обманывали меньше Вопрос 4. Как сделать так, чтобы вас уважали и ценили? Как сделать лучше себе и другим людям Как сделать свидание интересным?


Категории:

АрхитектураАстрономияБиологияГеографияГеологияИнформатикаИскусствоИсторияКулинарияКультураМаркетингМатематикаМедицинаМенеджментОхрана трудаПравоПроизводствоПсихологияРелигияСоциологияСпортТехникаФизикаФилософияХимияЭкологияЭкономикаЭлектроника






Анализ связи атрибутивных признаков





Взаимосвязь между атрибутивными признаками анализируется посредством таблиц взаимной сопряженности.

При наличии статистической связи оценка тесноты связи базируется на отклонениях фактических частот от пропорциональным итоговым частотам:

, (5.38)

где - суммарные частоты по - той строке;

- суммарные частоты по j - тому столбцу;

- объем совокупности.

Абсолютную величину отклонений фактических частот от характеризуют критерием («хи»-квадрат):

, (5.39)

где – соответственно количество групп по признакам и .

При отсутствии статистической связи .

Для вывода о тесноте связи рассчитанное значение сравнивается с табличным значением , которое выбирается из таблиц распределения «хи»-квадрат в зависимости от принятого уровня значимости α и степеней свободы делают вывод о наличии тесной связи между признаками и .

Относительной мерой тесноты статистической связи между признаками служат:

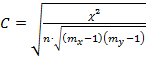
· коэффициент взаимной сопряженности Чупрова

; (5.40)

· коэффициент взаимной сопряженности Крамера

V , (5.41)

где – минимальное количество групп ( или ).

Значение коэффициентов изменяется от 0 до 1, и теснота связи тем сильнее, чем ближе к 1.

 

Пример 5.7.По результатам опроса 48 абитуриентов получены следующие данные о выборе специальности
  Менеджер Финансист Бухгалтер
Юноши      
Девушки      

Необходимо определить: влияет ли пол на выбор специальности?

Для этого воспользуемся критерием «хи»-квадрат. Построим таблицу распределения частот:

  Менеджер Финансист Бухгалтер Итого
Юноши        
Девушки        
Итого       48

Теоретически, мы ожидаем, что частоты распределятся равномерно, т.е. частота распределится пропорционально между юношами и девушками. Построим таблицу теоретических частот. Для этого умножим сумму по строке на сумму по столбцу и разделим получившееся число на общую сумму (n).

 

  Менеджер Финансист Бухгалтер Итого
Юноши (21 * 16)/48 = 7 (21 * 17)/48 = 7,44 (21 * 15)/48 = 6,56  
Девушки (27 * 16)/48 = 9 (27 * 17)/48 = 9,56 (27 * 15)/48 = 8,44  
Итого       n = 48

Итоговая таблица для вычислений будет выглядеть так:

Признак Признак
Юноши Менеджер     2,286
Финансист   7,44 0,026
Бухгалтер   6,56 1,932
Девушки Менеджер     1,778
Финансист   9,56 0,02
Бухгалтер   8,44 1,502
Сумма:       7,544

; число степеней свободы .

Из таблицы распределения для уровня значимости и найдем .

Т.к. делаем вывод, что пол определяет выбор специальности.

Коэффициент взаимной сопряженности Чупрова (5.40):

;

коэффициент взаимной сопряженности Крамера (5.41):

V .

Если необходимо оценить тесноту связи между альтернативными признаками, которые могут принимать любое число вариантов значений, применяется коэффициент взаимной сопряженности Пирсона (КП).

Для исследования такого рода связи первичную статистическую информацию располагают в форме таблицы:

Признаки A B C Итого
D m11 m12 m13 m1×
E m21 m22 m23 m2×
F m31 m32 m33 m3×
Итого m×1 m×2 m×3 П

Здесь mij - частоты взаимного сочетания двух атрибутивных признаков; П - число пар наблюдений.

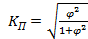
Коэффициент взаимной сопряженности Пирсона определяется по формуле:
, (5.42)

где - показатель средней квадратической сопряженности:

.

Коэффициент взаимной сопряженности изменяется от 0 до 1.

Пример 5.8.Оценить тесноту связи между атрибутивными признаками (возрастом и оценкой деятельности политика) при социологическом опросе по данным таблицы:
оценка возраст  
до 30 лет от 30 до 50 лет более 50 лет Итого
одобряю 45 30 20 95
не одобряю 20 30 45 95
затрудняюсь ответить 5 10 5 20
Итого 70 70 70 210

 

Коэффициент взаимной сопряженности Пирсона (5.42): .

Величина , что свидетельствует о тесноте связи между атрибутивными признаками.

Наконец, следует упомянуть коэффициент корреляции знаков Фехнера, характеризующий элементарную степень тесноты связи, который целесообразно использовать для установления факта наличия связи, когда существует небольшой объем исходной информации. Данный коэффициент определяется по формуле:


, (5.43)

где С - количество совпадений знаков отклонений индивидуальных величин от их средней арифметической;

Н - соответственно количество несовпадений.

Коэффициент Фехнера может изменяться в пределах -1,0 ≤ Кф ≤ +1,0.







Date: 2015-09-24; view: 704; Нарушение авторских прав



mydocx.ru - 2015-2026 year. (1.174 sec.) Все материалы представленные на сайте исключительно с целью ознакомления читателями и не преследуют коммерческих целей или нарушение авторских прав - Пожаловаться на публикацию