Главная Случайная страница


Полезное:

Как сделать разговор полезным и приятным Как сделать объемную звезду своими руками Как сделать то, что делать не хочется? Как сделать погремушку Как сделать так чтобы женщины сами знакомились с вами Как сделать идею коммерческой Как сделать хорошую растяжку ног? Как сделать наш разум здоровым? Как сделать, чтобы люди обманывали меньше Вопрос 4. Как сделать так, чтобы вас уважали и ценили? Как сделать лучше себе и другим людям Как сделать свидание интересным?


Категории:

АрхитектураАстрономияБиологияГеографияГеологияИнформатикаИскусствоИсторияКулинарияКультураМаркетингМатематикаМедицинаМенеджментОхрана трудаПравоПроизводствоПсихологияРелигияСоциологияСпортТехникаФизикаФилософияХимияЭкологияЭкономикаЭлектроника






Выявление основной тенденции ряда динамики





Уровни ряда динамики формируются под влиянием многих факторов, каждый из которых определяет соответствующую составляющую ряда. При анализе временных рядов выделяют следующие его составляющие:

· тренд - основная тенденция развития динамического ряда (долговременное его изменение);

· сезонные (циклические) колебания, зависящие от времени года (например, при продаже мороженого);

· остаточные или случайные колебания, определяемые несистематическими, носящими непредсказуемый характер, причинами и вызывающие колебания уровней относительно тренда;

Наиболее простым способом выделения тренда является метод укрупнения интервалов. Он может применяться только к интервальным рядам абсолютных величин.

При использовании средней переменной укрупнение интервала обычно начинают с наименьшего возможного, т.е. с интервала, объединяющего два периода. Если в этом случае тенденция развития четко не проявляется, переходят к следующему возможному интервалу, объединяющему три периода, осуществляя расчет средних для укрупненных интервалов по формулам простой средней арифметической:

,

где уровни исходного ряда динамики.

 

Пример 6.8.Имеются данные о выпуске продукции на предприятии по месяцам за год:
Месяц                        
Выпуск, млн руб. 5,1 5,4 5,2 5,3 5,6 5,8 5,6 5,9 6,1 6,0 5,9 6,2

Рассчитанные суммарный и среднемесячный выпуск продукции по кварталам путем укрупнения интервалов до трех месяцев выглядят следующим образом:

 

Квартал Выпуск продукции, млн руб.
общий среднемесячный
  15,7 16,7 17,6 18,1 5,23 5,57 5,87 6,03

Видно, что новые данные более четко выражают закономерности изменения выпуска продукции за год – увеличение из квартала в квартал.

Выявление тренда может осуществляться также методом скользящей средней. Скользящая средняя – подвижная динамическая средняя, которая исчисляется по ряду при последовательном передвижении на один интервал, т.е. сначала вычисляют средний уровень из определенного числа первых по порядку уровней ряда, затем - средний уровень из такого же числа членов, начиная со второго. На практике удобнее использовать нечетный период, так как в этом случае скользящая средняя будет отнесена к середине периода скольжения. Так, скользящие средние с продолжительностью периода, равной трем, получаются следующие:

Полученные средние приписываются к соответствующему срединному интервалу – второму, третьему и т.д.

Погашение колебаний величин индивидуальных уровней ряда динамики, обеспечиваемое методом скользящей средней, называется сглаживанием динамического ряда.

Заметим, что сглаженный ряд укорачивается по сравнению с фактическим на члена с одного и другого конца, где период скользящей средней.

 

Пример 6.9.Для данныхпримера 6.8сгладить ряд,используя скользящую среднюю с периодом три. Результаты приведены в следующей таблице.
Месяц                    
Выпуск, млн руб. 5,23 5,3 5,37 5,57 5,67 5,77 5,87 6,0 6,0 6,03

 

 

Рассмотренные приёмы выявления тренда не позволяют получить аналитическую модель (т.е. числовую характеристику тенденции). Для этой цели используется аналитическое выравнивание. Суть его заключается в замене фактических уровней теоретическими , которые рассчитаны по определенному уравнению , принятому за математическую модель тренда и где теоретические уровни рассматриваются как функция времени .

На практике выбор формы кривой может быть основан на анализе графического изображения уровней динамического ряда (диаграммы рассеивания); при этом целесообразнее воспользоваться графическим изображением сглаженных уровней, в которых случайные колебания погашены. Если условия формирования уровней ряда изменяются, то расчет параметров выбранного уравнения не следует вести за весь рассматриваемый период; в этом случае необходимо разбить исходный ряд на несколько периодов, основываясь на оценке устойчивости показателей динамики.

При выборе формы уравнения учитывают следующие рекомендации:

· если относительно стабильны абсолютные приросты, выравнивание может быть выполнено с помощью линейной функции ;

· при относительно стабильных темпах роста (т.е. когда цепные коэффициенты роста примерно постоянны) используют показательную функцию (или её логарифм: , получая при этом линейную функцию, если уровни ряда заменить их логарифмами);


· если наблюдается замедленное снижение уровней ряда, то для описания характера тренда выбирают гиперболу вида .

Рассмотрим линейную функцию . Метод наименьших квадратов, исходя из условия:

, (6.13)

дает систему двух нормальных уравнений для нахождения параметров и :

, (6.14)

где – исходный уровень ряда,

число членов ряда,

время.

Если значения времени выбираются так, чтобы , тогда получается:

. (6.15)

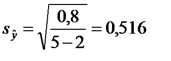
По полученной модели для каждой даты определяются теоретические уровни тренда и стандартная ошибка аппроксимации (или среднее квадратическое отклонение тренда) по формуле:

, (6.16)

где число параметров в уравнении тренда.

Границы доверительных интервалов прогноза определяются как

, (6.17)

где квантиль распределения Стьюдента с степенями свободы при уровне значимости

 

Пример 6.10. Рассчитать интервальный прогноз объёма перевозок на 2007 г. с доверительной вероятностью 0,95 на основе следующих отчетных данных по грузовому автотранспортному предприятию:

Год          
Объем перевозок, тыс. т.          

Для определения формы тренда и расчета его параметров составляется вспомогательная таблица.

Год Объем перевозок, тыс. т. Первые разности
    - -2   -844    
      -1   -443 442,8 0,04
            463,6 0,36
      +1     484,4 0,36
      +2     505,2 0,04
Сумма             0,8

Первые разности приблизительно равны между собой, поэтому в качестве модели можно принять уравнение прямой .

Параметры определяем по формулам (6.15): ; .

Модель тренда имеет вид: .

Среднее квадратическое отклонение равно (6.16): .

Точечный прогноз на 2007 год: тыс. т.

Интервальный прогноз объёма перевозок для 2007 г. при доверительной вероятности 0,95 (уровне значимости ) и числе степеней свободы 3 определяется следующими границами (6.17):

или .

 







Date: 2015-09-24; view: 526; Нарушение авторских прав



mydocx.ru - 2015-2026 year. (0.929 sec.) Все материалы представленные на сайте исключительно с целью ознакомления читателями и не преследуют коммерческих целей или нарушение авторских прав - Пожаловаться на публикацию