Главная Случайная страница


Полезное:

Как сделать разговор полезным и приятным Как сделать объемную звезду своими руками Как сделать то, что делать не хочется? Как сделать погремушку Как сделать так чтобы женщины сами знакомились с вами Как сделать идею коммерческой Как сделать хорошую растяжку ног? Как сделать наш разум здоровым? Как сделать, чтобы люди обманывали меньше Вопрос 4. Как сделать так, чтобы вас уважали и ценили? Как сделать лучше себе и другим людям Как сделать свидание интересным?


Категории:

АрхитектураАстрономияБиологияГеографияГеологияИнформатикаИскусствоИсторияКулинарияКультураМаркетингМатематикаМедицинаМенеджментОхрана трудаПравоПроизводствоПсихологияРелигияСоциологияСпортТехникаФизикаФилософияХимияЭкологияЭкономикаЭлектроника






Полученное при помощи средств EXCEL значение коэффициента корреляции данных массивов равно . Выбираем





на панели инструментов.

 

ШАГ 5. Проверяем гипотезу о статистической значимости выборочного коэффициента корреляции (стр. 265-266)

 

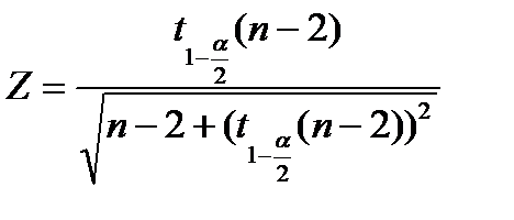
Выдвигаем основную гипотезу : и соответствующую альтернативную гипотезу . На заданном уровне значимости находим теоретическое значение статистики критерия согласно выражению

 

.

 

Выбрав уровень значимости , находим по таблице (стр. 414) квантиль распределения Стьюдента и вычисляем значение статистики .

 

Основная гипотеза принимается, если выполняется соотношение и отвергается в случае .

 

В рассматриваемом случае . Поэтому основная гипотеза отклоняется и принимается гипотеза . Таким образом, коэффициент корреляции на выбранном уровне значимости отличен от нуля. Это свидетельствует о наличии корреляционной зависимости между случайными величинами. Значение коэффициента корреляции близко к единице, что говорит о близости зависимости между случайными величинами к линейной зависимости.

 

 







Date: 2015-09-24; view: 483; Нарушение авторских прав



mydocx.ru - 2015-2026 year. (1.641 sec.) Все материалы представленные на сайте исключительно с целью ознакомления читателями и не преследуют коммерческих целей или нарушение авторских прав - Пожаловаться на публикацию