Главная Случайная страница


Полезное:

Как сделать разговор полезным и приятным Как сделать объемную звезду своими руками Как сделать то, что делать не хочется? Как сделать погремушку Как сделать так чтобы женщины сами знакомились с вами Как сделать идею коммерческой Как сделать хорошую растяжку ног? Как сделать наш разум здоровым? Как сделать, чтобы люди обманывали меньше Вопрос 4. Как сделать так, чтобы вас уважали и ценили? Как сделать лучше себе и другим людям Как сделать свидание интересным?


Категории:

АрхитектураАстрономияБиологияГеографияГеологияИнформатикаИскусствоИсторияКулинарияКультураМаркетингМатематикаМедицинаМенеджментОхрана трудаПравоПроизводствоПсихологияРелигияСоциологияСпортТехникаФизикаФилософияХимияЭкологияЭкономикаЭлектроника






Доверительным интерваломназывают интервал, содержащий истинное значение параметра с заданной вероятностью , которую называют доверительной вероятностью





В тех случаях, когда дисперсия генеральной совокупности неизвестна, а получена ее оценка по указанным выше формулам, доверительный интервал для математического ожидания имеет вид:

Здесь - уровень значимости. Ширина доверительного интервала характеризует точность оценивания или стандартную ошибку и зависит от объема выборки и доверительной вероятности (уровня значимости). С увеличением объема выборки ширина доверительного интервала уменьшается (точность оценивания возрастает), а по мере приближения доверительной вероятности к единице (приближении уровня значимости к нулю) ширина доверительного интервала увеличивается (точность оценивания падает).

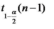
Здесь квантиль распределения Стьюдента (стр. 225-226, таблица на стр. 414) или в Excel на панели инструментов находите статистические функции и распределение Стьюдента.

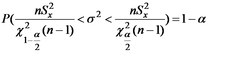
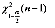
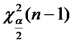
Доверительный интервал для дисперсии в том случае, если математическое ожидание неизвестно, а оценки получены по выборке, находим согласно соотношению

 

 

Здесь , квантили распределения (стр.224-225, таблица на стр 412) или в Excel.

.

 

 







Date: 2015-09-24; view: 562; Нарушение авторских прав



mydocx.ru - 2015-2026 year. (0.795 sec.) Все материалы представленные на сайте исключительно с целью ознакомления читателями и не преследуют коммерческих целей или нарушение авторских прав - Пожаловаться на публикацию