Главная Случайная страница


Полезное:

Как сделать разговор полезным и приятным Как сделать объемную звезду своими руками Как сделать то, что делать не хочется? Как сделать погремушку Как сделать так чтобы женщины сами знакомились с вами Как сделать идею коммерческой Как сделать хорошую растяжку ног? Как сделать наш разум здоровым? Как сделать, чтобы люди обманывали меньше Вопрос 4. Как сделать так, чтобы вас уважали и ценили? Как сделать лучше себе и другим людям Как сделать свидание интересным?


Категории:

АрхитектураАстрономияБиологияГеографияГеологияИнформатикаИскусствоИсторияКулинарияКультураМаркетингМатематикаМедицинаМенеджментОхрана трудаПравоПроизводствоПсихологияРелигияСоциологияСпортТехникаФизикаФилософияХимияЭкологияЭкономикаЭлектроника






Вторая теорема разложения





 

Пусть изображение Лапласа является правильной дробью:

 

 

Тогда оригиналом является функция , где

 

 

Сумма вычетов берется по всем особым точкам, лежащим в конечной части комплексной плоскости.

Если изображение является неправильной дробью, то необходимо выделить целую часть и при нахождении оригинала использовать свойство линейности.

 

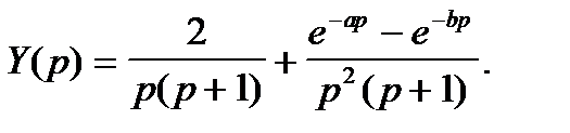
Пример 2.

Так как дробь правильная, сразу находим особые точки: , которые являются простыми полюсами. Сумму вычетов в комплексно сопряженных точках удобно находить по формуле:

 

| + | = | .

 

 

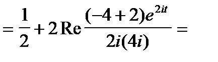
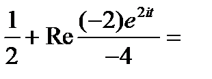
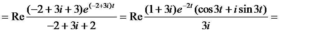
Пример 3. =

 

 

 

Пример 4. =

 

ТАБЛИЦА: ОСНОВНЫЕ ПРЕОБРАЗОВАНИЯ ЛАПЛАСА И ИХ СВОЙСТВА

 
 
 
   
   
 
   
 
 
   

ЗАДАЧИ

1. Найдите изображение по оригиналу , используя определение преобразований Лапласа.

 

1)

 


 
 
 

 


 
 
 
τ
 

 


 
 
 
 
 
2)

 


 

 

t
T

 

Ответы:

1. ,

2.

 

2. Найдите изображение по оригиналу, используя таблицу и свойства преобразований Лапласа.

 

 

 

 

 

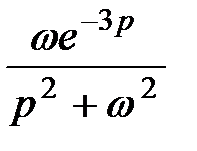
4. Преобразования Лапласа: восстановите оригинал по изображению

 

 

Ответ:
   
     

 

 

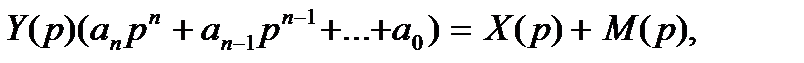
6. Решение линейных дифференциальных уравнений с постоянными коэффициентами операторным методом

Задача Коши для линейного уравнения:

 

 

состоит в нахождении частного решения y(t) по заданным начальным условиям

 

 

Полагаем, что правая часть уравнения x(t) и искомая функция y(t) являются оригиналами. Тогда для них существует преобразование Лапласа:

 

 

Применяя правило дифференцирования оригинала

 

................................

 

и используя свойство линейности, переходим в исходном дифференциальном уравнении от оригиналов к изображениям. При этом исходное дифференциальное уравнение переходит в алгебраическое уравнение относительно :

 

 

Тогда

 

 

 

 

B этом выражении стоящий в знаменателе многочлен называется характеристическим многочленом, а функция выражает влияние начальных условий.

Решение исходного дифференциального уравнения получаем, возвращаясь к оригиналам .

 

Пример 5. Найти частное решение уравнения

 

 

Переходя к изображениям ,

 

получаем операторное уравнение

и его решение

 

Переходя к оригиналам, получаем искомое решение:

 

 

При решении операторным способом правая часть уравнения может быть задана функцией, имеющей точки разрыва 1-го рода.

 

Пример 6. Найти частное решение уравнения, для которого правая часть приведена на рис.

 

 

а
a b
 
x(t)
 
t

 

 


Переходя к изображениям:

 



 

получаем алгебраическое уравнение

 

 

Тогда решение запишется в виде:

 

Переходя к оригиналам и используя свойство запаздывания оригинала, получаем решение:

 

 

 

Результат записывается следующим образом:

 

 

 


 

 

 







Date: 2015-09-24; view: 1683; Нарушение авторских прав



mydocx.ru - 2015-2026 year. (0.732 sec.) Все материалы представленные на сайте исключительно с целью ознакомления читателями и не преследуют коммерческих целей или нарушение авторских прав - Пожаловаться на публикацию