Главная Случайная страница


Полезное:

Как сделать разговор полезным и приятным Как сделать объемную звезду своими руками Как сделать то, что делать не хочется? Как сделать погремушку Как сделать так чтобы женщины сами знакомились с вами Как сделать идею коммерческой Как сделать хорошую растяжку ног? Как сделать наш разум здоровым? Как сделать, чтобы люди обманывали меньше Вопрос 4. Как сделать так, чтобы вас уважали и ценили? Как сделать лучше себе и другим людям Как сделать свидание интересным?


Категории:

АрхитектураАстрономияБиологияГеографияГеологияИнформатикаИскусствоИсторияКулинарияКультураМаркетингМатематикаМедицинаМенеджментОхрана трудаПравоПроизводствоПсихологияРелигияСоциологияСпортТехникаФизикаФилософияХимияЭкологияЭкономикаЭлектроника






Решение систем линейных дифференциальных уравнений операторным методом





Рассмотрим систему линейных дифференциальных уравнений

 

 

c начальными условиями

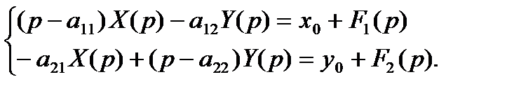
Считая функции функциями-оригиналами и переходя к изображениям, получаем систему алгебраических уравнений относительно переменных :

 

 

Решая эту систему методом исключений, методом Крамера или матричным методом, находим изображения . Возвращаясь к оригиналам, получаем решение:

 

 

Рассмотрим более подробно матричный метод решения полученной алгебраической системы, вводя следующие матрицы:

 

матрица коэффициентов системы;

 

матрица искомых функций;

 

матрица, включающая начальные условия и изображения правых частей.

Исходная система записывается как матричное уравнение:

 

 

решением которого является матрица:

 

 

Здесь называется преобразователем Лапласа фундаментального решения системы или матрицей Грина. По правилу нахождения обратной матрицы получаем:

 

 

Оригинал матрицы называют матричной функцией отклика, фундаментальным решением или матричной функцией Грина:

 

.

 

Таким образом, решение системы записывается в виде матрицы:

 

 

Переходя к оригиналам в каждой из строк этой матрицы, получаем окончательное решение системы:

 

 

Пример 7. Найти решение системы дифференциальных уравнений:

 

 

Переходя к изображениям:

 

 

получаем систему алгебраических уравнений:

 

 

Матрица этой системы имеет вид:

 

 

обратная матрица

 

 

Введем матрицу

 

 

Решение системы имеет вид:

ЗАДАЧИ

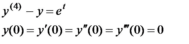
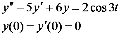
1. Решите дифференциальные уравнения

 

  Условия задачи Ответ
 
 
 
 
 
 
 
       

 

 

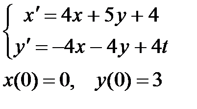
2. Решите системы линейных дифференциальных уравнений

  Система Ответ
 
 
 
 
 

 







Date: 2015-09-24; view: 820; Нарушение авторских прав



mydocx.ru - 2015-2026 year. (0.479 sec.) Все материалы представленные на сайте исключительно с целью ознакомления читателями и не преследуют коммерческих целей или нарушение авторских прав - Пожаловаться на публикацию