Главная Случайная страница


Полезное:

Как сделать разговор полезным и приятным Как сделать объемную звезду своими руками Как сделать то, что делать не хочется? Как сделать погремушку Как сделать так чтобы женщины сами знакомились с вами Как сделать идею коммерческой Как сделать хорошую растяжку ног? Как сделать наш разум здоровым? Как сделать, чтобы люди обманывали меньше Вопрос 4. Как сделать так, чтобы вас уважали и ценили? Как сделать лучше себе и другим людям Как сделать свидание интересным?


Категории:

АрхитектураАстрономияБиологияГеографияГеологияИнформатикаИскусствоИсторияКулинарияКультураМаркетингМатематикаМедицинаМенеджментОхрана трудаПравоПроизводствоПсихологияРелигияСоциологияСпортТехникаФизикаФилософияХимияЭкологияЭкономикаЭлектроника






Энергетические характеристики моновакансий в разных металлах





Таблица 14.17.

 

Металл Энергия образования, Энергия миграции, Энергия самодиффуз.
Медь 1,28 0,71 1,99
Алюминий 0,67 0,62 1,29
Серебро 1,13 0,66 1,79
Вольфрам 3,6 1,7 5,0
Молибден 3,2 1,3 4,5

 

 

Энергия образования межузельного атома обычно составляет 3 - 5 эВ. Межузельный атом может мигрировать по механизму гантельной конфигурации. На рис.14.5. показана миграция гантели <100> межузельных атомов из положения «1-2» в положение «5-6» в ГЦК решётке.

Рис. 14.5. Миграции гантели <100> из положения "1-2" в положение "5-6" в

ГЦК решётке

В миграции гантели участвуют 3 атома: 2 межузельных и узловой атом 3. Атом 1 смещается в ближайший узел решётки 4, а атомы 2 и 3 в положения 5 и 6. Как видно ось гантели <100> в ГЦК решётке поворачивается при этом на 90°.

Энергия активации миграции гантели составляет около 0,1эВ, что намного ниже значения Ем, для вакансии. Гантели очень подвижны даже при температурах ниже 100°K, когда подвижность вакансий низка. Но из-за высокой энергии образования межузельных атомов их концентрация много больше концентрации вакансий.

Лишние межузельные атомы могут создать уплотненную цепочку атомов - краудион. Лишние атомы как бы "размазываются" по линии краудиона. Последний легко движется вдоль своей оси путем эстафетного перемещения атомов. На рис. 14.6 показан краудион <110> в ГЦК решетке. При повышенной температуре и сосредоточенной нагрузке (укол индентором) наблюдается краудионная пластичность, вызванная дрейфом атомов по линиям краудиона.


 

Рнс. 14.6. Краудион <110> в ГЦК решетке

Атомы примесей замещения мигрируют по вакансионному механизму. Однако, т.к. вероятность нахождения вакансии рядом с атомом примеси значительно меньше вероятности пребывания вакансии рядом с атомом решётки растворителя, то такие перемещения примесных атомов происходят достаточно редко. Поэтому диффузия примесных атомов замеще­ния протекает медленнее самодиффузии.

Атомы примесей внедрения легко диффундируют по межузлиям. Около каждого атома внедрения всегда имеется несколько пор, в которые он может перейти. В то же время, для самодиффузии атома растворителя по собственной решётке, необходимо ожидать момента появления соседней вакансии. Именно поэтому атомы железа диффундируют в стали много медленнее атомов углерода, мигрирующего по межузлиям.

Особенно легко мигрируют атомы примесей внедрения в ОЦК решётке. Т.к. размер окта - и тетра-пор отличается незначительно, то атомы могут непрерывно переходить из одной поры в соседнюю. (В ГЦК решётке одна окта-пора отделена от другой плотноупакованным атомным слоем.)

Вакансий образуются в результате: а) флуктуации энергий атомов, б) при пластической деформации, в) при облучении металлов частицами больших энергий и др.


Известно два механизма образования тепловых вакансий: 1) по Френкелю (образование пары «вакансия - межузельный атом», приэтом концентраци вакансий и межузельных атомов будут равны, т.е.

2) по Шотки - происходит выход атомов матрицы на свободную поверхность и внутренние поверхности и границы кристалла (дислокации,

поры, лакуны, кластеры, микротрещины, границы зерен и субзерен), а также при испарении атомов. Это приводит к образованию потока вакансий в глубь металла. При этом ).

Движение вакансий ("дырок") по решётке можно проиллюстрировать движениемнезанятого места в кинозале, на которое поочередно садится зритель. Схема образования вакансий по механизму Шотки дана на рис. 14.7

.Рис. 14.7. Образование вакансий по механизму Шотки

Механизм Шотки требует меньших энергетических затрат и поэтому реализуется значительно чаще. Вклад границ зерен составляет до 20% в

общую концентрацию тепловых вакансий. Остальные 80% образуются за счет свободных поверхностей и дислокаций.

Припластической деформации движение дислокаций с порогами образует избыточную концентрацию вакансий. Вакансии или межузельные атомы так же могут образовываться при аннигиляции краевых дислокации


разного знака. На рис. 14.8. представлена схема возникновения точечных дефектов при аннигиляции краевых дислокации разного знака (а -образование избыточных вакансий, в - образование избыточных межузельных атомов).

Рис. 14.8. Возникновение точечных дефектов при аннигиляции краевых дислокации разного знака: а -образование избыточных вакансий, в - образование избыточных


межузельных атоыов

Рекомбинация дефектов происходит крайне редко, т.к. концентрация межузельных атомов очень мала, (исключение составляют облучённые металлы, содержащие большое количество межузельных атомов).

Вакансии оказывают существенное влияние на кинетику и механизм таких важных процессов, как ползучесть, спекание, графитизация и т.д. Вакансия - дефект высокоподвижный, её движение (диффузия) происходит путбм обмена местами с окружающими атомами. Роль вакансий и их подвижность хорошо выяяляется в процессе спекания. После прессования порошковых материалов них имеются поры, которые при последующем нагреве и длительной выдержке залечиваются или вообще исчезают. Б.Я. Пинес связал этот процесс с диффузией вакансий от пор к поверхности, т.к. объём спекаемой сутунки при спекании уменьшается.


Выводы

1. Поле деформации точечных дефектов является

короткодействующим, убывающим обратно пропорционально расстоянию от ядра дефекта.

2. Смещение атомов в области точечного дефекта анизотропно.

3. При локальном нагружении может наблюдаться краудионная
пластичность кристалла.

4. Тепловые вакансии образуются за счет механизмов Френкеля и
Шотки.

5. При пластической деформации точечные дефекты могут
образовываться за счет аннигиляции дислокаций и движения дислокаций с
порогами.


ЛЕКЦИЯ 15

Раздел. Точечные дефекты (продолжение)

План

1. Равновесная концентрация точечных дефектов. Роль энтропийных
факторов.

2. Комплексы точечных дефектов.

3. Концентрация комплексов и их подвижность.

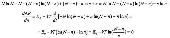
Из общих соображений кажется ясно, что чем больше точечных дефектов в кристалле, тем больше энергия искажения решетки и кристалл дальше от состояния термодинамического равновесия.

Посмотрим, какой ответ на это дает простой термодинамический расчет. Изменение свободной энергии кристалла при наличии в нем точечных дефектов можно записать как:

где; пЕ0- внутренняя энергия кристалла, обусловленная

дефектностью решетки (при условии малости n), TAS - энтропийный фактор твердого раствора. Например, для вакансии, если ограничиться только связями с ближайшими соседними атомами, то

где к - число разорванных связей (координационное число). ЕАа- энергия связи атома А решётки с соседним атомом А того же сорта.

Конфигурационная энтропия зависит от числа способов, которыми можно распределить точечные дефекты по узлам или порам решетки, т.е. это функция их положения, которая может быть представлена в виде:


где N - число узлов или пор решетки. Анализ этого уравнения показывает, что максимум , к которому стремится система, соответствует концентрации точечных дефектов в 50 ат.%. (рис. 15.1.)



 


Рис. 15.1 Изменение энтропии раствора в зависимости от концентрации

точечных дефектов

Однако термодинамическое равновесие системы зависит и от внутренней (связанной) энергии, которая растет с ростом числа дефектов. Поскольку оба члена имеют разные знаки, можно ожидать наличие экстремума - минимума свободной энергии при некоторой равновесной концентрации дефектов. Используем приближение Стирлинга для определения факториалов в виде:


Используем функцию AF на экстремум.

Раскроем предварительно выражение в скобках


Учитывая, что n «N


 

Откуда

Это уравнение, описывающее равновесную концентрацию точечных дефектов получено в предположении отсутствия взаимодействия точечных дефектов, что справедливо только при С < ОД. Кроме того, мы не учитывали, что в области точечного дефекта изменяется частотный спектр колеблющихся атомов (понижается частота колебаний атомов в области вакансии и повышаются - вблизи межузельного атома), что меняет вибрационную энергию системы. Это может быть учтено изменением колебательной энтропией в виде

где и - круговые частоты j - той гармоники атомов в

отсутствии и наличии точечного дефекта (для вакансии: ; для

межузельного атома: ). Таким образом, вибрационная антропия

должна дать некоторое дополнительное количество вакансий к равновесному значению С и несколько уменьшить концентрацию межузельных атомов. Учет колебательной энтропии на равновесную концентрацию точечных дефектов можно записать как

где для разных сплавов.

Из последнего выражения следует, что в состоянии термодинамического равновесия системы (длительный отжиг) при каждой температуре должна быть вполне определенная равновесная концентрация точечных дефектов. Любое искусственное понижение концентрации


сравнению с термодинамически равновесной С приводит к росту . С - это концентрация дефектов от которой избавиться нельзя, не нарушая термодинамического равновесия. Основной причиной присутствия некоторого количества точечных дефектов в решетке является рост конфигурационной энтропии раствора., По этой причине получение

сверхчистых металлов, когда встречает огромные

трудности, связанные с необходимостью понижения конфигурационной энтропии раствора.

В таблице 15.1. даны значения равновесной концентрации точечных дефектов в меди при разных температурах.

При предплавильной температуре для всех металлов концентрация равновесных вакансий составляет около . Ввиду высокой энергии активации концентрация межузельных атомов много меньше концентрации вакансий. Поэтому вакансии играют основную роль в процессах самодиффузии и диффузии примеси замещения.

Таблица 15.1.

Равновесная концентрация точечных дефектов в кристалле меди

 

Тип дефекта Равновесная концентрация дефектов в меди при разных температурах, °А' 300 800 1300
Вакансии Межузльные атомы 1 4

Взаимодействуя своими упругими полями, точечные дефекты объединяются в пары или более крупные комплексы (имеется выигрыш в поверхностной энергии). Например, при встрече 2-х вакансий образуется устойчивая дивакансия

Зная эту энергию можно рассчитать равновесную концентрацию дивакансий, используя тот же термодинамический подход

где к - координационное числе, Св- концентрация вакансий.

Энергия взаимодействия для дивакансий у разных металлов колеблется от 0,06 до 0,57 эВ и обусловлена уменьшением поверхностной энергии. При комнатных температурах существованием дивакансий обычно можно пренебречь. Вблизи температуры плавления не более 20% моновакансий связаны в дивакансий.


Образование комплексов дивакансий, тривакансий и т.п. наблюдается в основном при пересыщении решетки вакансиями (например, при закалке) которое может достигать до 6-7 порядков от равновесной. В условиях термодинамического равновесия концентрация комплексов составляет менее 5-10 % (конфигурационная энтропия при этом понижается).

Расчет показывает, что энергия миграции дивакансий почти вдвое меньше энергии моновакансии. Таким образом, подвижности последних в решетке ниже. Это объясняется тем, что при переходе атомов в дивакансию почти отсутствует потенциальный барьер. Нарнс.15.2 показана дивакансия в атомном слое плотнейшей упаковки. Видно что атом 3 легко переходит в положение I. Дивакансия при этом занимает положение «2-3». Дивакансий из-за высокой подвижности вносят значительный вклад в диффузионные процессы.


 

Рис. 15.2. Днвакансия в атомном слое плотневшей упаковки

На рис, 15.3. показан тетраэдрический комплекс вакансий в ГЦК решётке. Вакансии изображены белыми кружками. В центре комплекса находится атом.

Рис. 15.3. Тетраэдрический комплекс вакансий в ГЦК решётке. Вакансии изображены белыми кружками. В центре комплекса находится

межузельный атом

Часто при закалке образуются плоские вакансионные диски из нескольких вакансий, являющимися неподвижными. Такие неподвижные комплексы вакансий могут служить центрами конденсации других вакансий, образуя так называемые лакуны, способные далее превращаться в субмикроскопические трещины. Сюда также происходит подход примесных атомов из матрицы.


Межузельные атомы также могут образовывать комплексы. Так в ГЦК решётке вместо одиночного атома примеси в центре ячейки (окта-пора), более устойчива конфигурация из 2-х межузелных атомов в координатных

позициях (рвс.15.4).

. Это т.н. "гантель" <100>межузельных атомов

Рнс. 15.4. Гантель <100>вГЦК решётке

Энергия связи в такой ларе - около 1эВ. В ОЦК решётке устойчива пара параллельных соседних гантелей типа <110>. Подвижность "гантелей" достаточно высокая ( 0,1эВ).

Из большего числа параллельных гантелей возможно образование плоских кластеров. Такие кластеры представляют собой как бы плоские. включения из межузельных атомов, которые в последующим могут являться предвыделениями второй фазы.

Вакансии взаимодействуют с атомами примесей и приводят к релаксации упругих полей дефектов. В присутствии примесного атома в ячейке выражение для энергии образования вакансии примет вид:

>

где - энергия связи примесного атома В с атомом растворителя А. Так, что энергия связи "вакансия - примесной атом" запишется как


Для разных сплавов составляет величину 0,01+0,ЗэВ.

В присутствии тянущего поля вакансий равновесная концентрация примесных атомов может увеличиться в несколько раз. Можно ожидать, что малорастворимые элементы будут характеризоваться большими значениями энергии связи с вакансиями по сравнению с элементами образующими широкие области твёрдых растворов. (Атомы малорастворимых элементов вносят сильные искажения в решётку растворителя и в присутствии вакансии искажение ячейки быстро релаксирует, обусловливая повышенное значение

" )•

В случае разбавленных растворов замещения равновесная

концентрация комплексов "вакансия - примесный атом" равна

где TAS - энтропийный фактор, Сп- концентрация примеси, К -координационное число, Ео- энергия образования моновакансии, Ев.а -

энергия связи вакансии с примесным атомом.

Как видно с ростом температуры растет концентрация Св.а. Комплекс "вакансия - примесный атом" значительно более подвижен, чем атом того же элемента, не имеющий "приданной" ему вакансии. Комплекс "примесный атом - межузельный атом" можно представить в виде смешанной гантельной конфигурации: на одном конце гантели - атом основного металла, а на другом - атом примеси замещения. Энергетическую устойчивость такой смешанной пары обусловливает захват примесью межузельного атома.


Выводы

1. Наличие точечных дефектов в решетке термодинамически
оправдано. С ростом температуры повышается и концентрация дефектов.

2. Вакансии играют ведущую роль в процессах самодиффузии и
диффузии примеси замещения.

3. Взаимодействуя своими упругими полями точечные дефекты
образуют комплексы, которые способны к миграции или обмену атомов.


ЛЕКЦИЯ 16

Раздел. Точечные дефекты (продолжение)

План

1. Поведение вакансий при закалке и отжиге. Равновесная и нерав-
новесные вакансии.

2. Способы измерения концентрации вакансий.

3. Радиационные дефекты.

Равновесная концентрация вакансий достигается в случае темодинамически равновесного состояния твердого раствора при медленном нагреве и охлаждении. При быстром охлаждении (условно будем называть его закалкой) равновесная концентрация вакансий не достигается. Фиксируется избыточная их концентрация и металл пресыщается вакансиями. При закалке более 50% вакансий оказываются связанными в дивакансии. В начальный момент закалки вакансии являются ещё достаточно подвижны и могут образовывать комплексы - вакансионные диски диаметром до 100 нм (10 А0). При захлопывании таких дисков рождаются «сидячие» дислокации. В ГЦК металлах поверхностью таких вакансионных дисков являются плотноупакованные плоскости {III}. Эти плоскости имеют низкую поверхностную энергию.


*) для получения закалочных вакансий не обязательно вести нагрев выше точек фазового превращения

При закалке могут образовываться так же трёхмерные агрегаты вакансий - микропустоты радиусом в несколько десятков нанометров. Такие пустоты имеют кристаллографическую огранку. Образованию микропустот способствуют снижение скорости охлаждения и присутствие атомов газов в твердом растворе. Атомы газовой примеси создают зарождение пустот, а подход к ним закалочных вакансий - их рост.


Моновакансии и более подвижные вакансии в условиях пересыщения устремляются к стокам: границам зерен и дислокациям. В области последних концентрация вакансий оказывается пониженной. На рис.16.1 показано распределение концентрации вакансий по сечению зерна вблизи границы: 1 - сразу после, закалки; 2 - при температуре закалки; 3 - при комнатной температуре; - пересыщение решетки закалочными

вакансиями.

Рнс. 16.1. Распределение вакансий по сечению зерна вблизи границы 1 - сразу после закачки, 2 - при температуре закалки, 3- прнкомнатной температуре,

- пресыщение закалочными вакансиями

Вдали от стоков решётка будет пересыщена неравновесными вакансиями. Часть вакансий захватывается атомами примесей.

Неравновесные вакансии могут образовываться также при пластической деформации, при полиморфном превращении (более плотные кристаллы превращаются в менее плотные), при облучении сплавов частицами больших энергий. Так, при пластической деформации количество точечных дефектов (преимущественно вакансий) в см3 изменяется следующим образом:

где - относительная деформация, m=1-2.

Здесь предполагается, что все возникающие дефекты остаются в металле. Это справедливо для низких температурах, когда исключается


диффузия. При 10% для большинства металлов , что

соответствует концентрации точечных дефектов

Если металл с неравновесной концентрацией вакансий нагреть, то избыточные вакансии уходят в стоки (поверхность образца, границы зёрен, дислокации, вакансионные диски, кластеры). Встречаясь с межузельными атомами вакансии анигилируют. В зависимости от времени нагрева (отжига) t избыточная концентрация вакансий изменяется по следующему закону

где к = aD, а- коэффициент, зависящий от геометрии стока,

D- коэффициент самодиффузии, Со - равновесная концентрация вакансий.

Таким образом, концентрация неравновесных вакансий экспо­ненциально уменьшается с увеличением времени отжига. Однако здесь не учтено, что при отжиге меняется число стоков, идёт рекомбинация вакансий и межузельных атомов, образование комплексов «вакансия - примесной атом», днвакансий, вакансионных дисков, кластеров и др.

При пересыщении металла вакансиями все диффузионные процессы резко активизируется.

Увеличение концентрации вакансий контролируют по относительному увеличению длины образца и по приросту электросопротивления . Все методы определения концентрации вакансий

можно подразделить на две группы:

1. исследование металла в условиях термодинамического
равновесия при разных температурах;

2. исследование металла пересыщенного вакансиями (после
закалки).


С ростом концентрации вакансий растет и электросопротивление. Причем, за 30-50° до этот прирост становится очень значительным в

соответствии с экспоненциальным увеличением концентрации вакансий от температуры (рис. 16.2).



 


Рис. 16.2. Изменение электросопротивления от температуры

нагрева

Теоретическая кривая - 2 описывается зависимостью

Таким образом, за счет увеличения амплитуды тепловых колебаний атомов, прирост электросопротивления равен

где и - термические коэффициенты электросопротивления. Наличие точечных дефектов и, в частности, вакансий дает увеличение электосопротивления по сравнению с теоретическим на величину

На линейном участке будем иметь:

Или


Измеряя от температуры по углу наклона прямой в координатах

определяют Ео и концентрацию вакансий. В случае "закалочных"

экспериментов, по оси абсцисс откладывают

Можно показать, что при изменении длины образца и периода

решетки при нагреве до заданной температуры концентрация вакансий

равна:

- определяют дилатометрическим способом, а

рентгеновским анализом. В настоящее время величину измеряют с

точностью до > а . Следовательно, этим методом определяют

концентрации вакансий т.е. только вблизи температуры

плавления. Это является существенным недостатком метода, т.к. при высоких температурах становится существенной доля дивакансий.

В последние годы все большее распространение получает метод определения малых Cv с помощью спектрального анализа, спектроскопии аннигиляции позитронов. Источником позитронов может быть радиоактивный Na22 или . Вблизи вакансий электронная плотность

понижена. Поэтому, здесь время жизни позитронов на 50-80% больше, чем у позитронов аннигилирующих в решетке (вдали от вакансий). Концентрацию вакансий вычисляют по данным о времени жизни, которое измеряют с помощью детекторов фотонов.

Уже во время закалочных экспериментов (1-2с) происходит частичный уход вакансий в стоки, что приводит к занижению Потери

вакансий возрастают с повышением температуры нагрева и уменьшением скорости охлаждения. Вблизи точки плавления у разных металлов равновесная концентрация вакансий составляет или 0,05-0,1ат.%. В


табл. 16.1 представлены опытные данные равновесной концентрации вакансий для разных металлов.

Таблица 16.1







Date: 2015-09-24; view: 1294; Нарушение авторских прав



mydocx.ru - 2015-2026 year. (0.299 sec.) Все материалы представленные на сайте исключительно с целью ознакомления читателями и не преследуют коммерческих целей или нарушение авторских прав - Пожаловаться на публикацию