Главная Случайная страница


Полезное:

Как сделать разговор полезным и приятным Как сделать объемную звезду своими руками Как сделать то, что делать не хочется? Как сделать погремушку Как сделать так чтобы женщины сами знакомились с вами Как сделать идею коммерческой Как сделать хорошую растяжку ног? Как сделать наш разум здоровым? Как сделать, чтобы люди обманывали меньше Вопрос 4. Как сделать так, чтобы вас уважали и ценили? Как сделать лучше себе и другим людям Как сделать свидание интересным?


Категории:

АрхитектураАстрономияБиологияГеографияГеологияИнформатикаИскусствоИсторияКулинарияКультураМаркетингМатематикаМедицинаМенеджментОхрана трудаПравоПроизводствоПсихологияРелигияСоциологияСпортТехникаФизикаФилософияХимияЭкологияЭкономикаЭлектроника






И параметры амплитудного детектора





 

Детекторная характеристика представляет собой зависимость постоянной составляющей U = выходного напряжения от изменения амплитуды U с немодулированного сигнала u c(t) = U ccos(ωc t). Уровень нелинейных искажений, имеющих место при детектировании, определяется видом детекторной характеристики. По детекторной характеристике можно установить диапазон изменения амплитуды u a(t) модулированного сигнала (5.1), при котором нелинейные искажения модулирующего сообщения x (t) не будут превышать определенного предела.

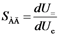
Крутизна детекторной характеристики рассчитывается как производная:

,

является безразмерной величиной и по аналогии с показателями любого усилительного узла характеризует передаточные свойства детектора.

Коэффициент нелинейных искажений – численная мера нелинейных искажений модулирующего сообщения x (t) при гармонической модуляции с частотой W = 2p F:

,

где Un W– амплитуда колебания с частотой n W на выходе амплитудного детектора.

Коэффициент передачи амплитудного детектора определяется при гармонической модуляции с частотой W отношением

,

где U W– амплитуда колебания с частотой W на выходе амплитудного детектора.

Частотная характеристика является зависимостью коэффициента передачи амплитудного детектора от частоты модуляции: k W = f (W).

Коэффициент фильтрации амплитудного детектора задается отношением

,

где U w– амплитуда первой гармоники высокочастотного колебания на выходе амплитудного детектора.

 

 







Date: 2015-09-24; view: 582; Нарушение авторских прав



mydocx.ru - 2015-2026 year. (0.143 sec.) Все материалы представленные на сайте исключительно с целью ознакомления читателями и не преследуют коммерческих целей или нарушение авторских прав - Пожаловаться на публикацию