Главная Случайная страница


Полезное:

Как сделать разговор полезным и приятным Как сделать объемную звезду своими руками Как сделать то, что делать не хочется? Как сделать погремушку Как сделать так чтобы женщины сами знакомились с вами Как сделать идею коммерческой Как сделать хорошую растяжку ног? Как сделать наш разум здоровым? Как сделать, чтобы люди обманывали меньше Вопрос 4. Как сделать так, чтобы вас уважали и ценили? Как сделать лучше себе и другим людям Как сделать свидание интересным?


Категории:

АрхитектураАстрономияБиологияГеографияГеологияИнформатикаИскусствоИсторияКулинарияКультураМаркетингМатематикаМедицинаМенеджментОхрана трудаПравоПроизводствоПсихологияРелигияСоциологияСпортТехникаФизикаФилософияХимияЭкологияЭкономикаЭлектроника






Моделирование частотных детекторов





 

Ц е л и: освоение и закрепление навыков моделирования реальных аналоговых узлов УПиОС;

сравнение результатов компьютерного моделирования с результатами выполнения лабораторной работы на специализированном учебном стенде в условиях полной идентичности исходных данных и объектов моделирования;

иллюстрация более широких возможностей моделирования по сравнению с экспериментальным исследованием учебного стенда путем задания преподавателем других исходных данных, не идентичных лабораторному стенду, но важных для практической работы.

П о р я д о к в ы п о л н е н и я

1. Составить описание конкретной модели частотного детектора (на расстроенном контуре и амплитудном детекторе, на основе аналогового перемножителя, на детекторе отношений (дробный детектор) и т. д.) в терминах и обозначениях, принятых в пакете OrCAD [6].

2. Задать исходные данные (амплитуда и частота входного сигнала и их возможные диапазоны изменений).

3. Задать требуемые выходные характеристики (зависимость амплитуды выходного сигнала от частоты, амплитуды входного сигнала, спектр сигнала на выходе и т. д.).

4. Выполнить задания (запуск программы, получение, проверка и корректировка результатов, копирование результатов в отчет по лабораторной работе).

5. Проанализировать полученные результаты (сравнить с данными экспериментального исследования аналогичных частотных детекторов, сравнить полученные характеристики детекторов между собой с формулированием вывода о достоинствах и недостатках каждого и т. д.).

Содержание отчета

 

1. Наименование и цель работы.

2. Схемы исследуемых частотных детекторов.

3. Результаты измерений для трех типов частотных детекторов.

3.1. Таблицы с результатами измерений и экспериментальные зависимости для модуляционной характеристики ЧМ-генератора (задание 1).

3.2. Таблицы с результатами измерений и экспериментальные зависимости U = = f (f c) без модуляции для 4 случаев включения шунтирующих резисторов R 1 и R 2 (задания 2–4).

3.3. Таблицы с результатами измерений частотных характеристик. графики зависимостей U Ω = f (F м) (задание 5).

3.4. Таблицы с результатами измерений зависимостей U Ω = f (U м) для трех типов детекторов (задание 6).

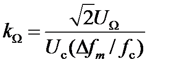
3.5. Результаты расчета коэффициентов передачи детекторов по формуле

,

где U c = 0,5 В, Δ fm – девиация частоты. Для определения девиации частоты Δ fm использовать результаты задания 1. По средней частоте несущего колебания f ср для каждого типа детектора определить по графику значение U см, соответствующее этой частоте. Для каждого значения U м рассчитать максимальную частоту f max, соответствующую максимальному смещению , и вычислить по формуле .

4. Анализ полученных результатов.

4.1. Объяснение характера зависимостей U = = f (f c) (задания 2–4).

4.2. Анализ частотных свойств детекторов (задание 5).

4.3. Сравнение коэффициентов передачи различных типов детекторов (задание 6).

4.4. Сравнение результатов экспериментальных исследований и моделирования.

5. Выводы.

Контрольные вопросы

 

1. Какие функции выполняют частотные детекторы? По каким признакам классифицируются такие детекторы и каковы их основные параметры?

2. Каковы принципы работы и схемы частотных детекторов?

3. Как рассчитывают коэффициент передачи частотного детектора?

4. Что происходит при совместном действии сигнала и шума на частотный детектор? Как проявляются пороговые свойства частотного детектора?

5. Какие искажения могут претерпевать сигналы в частотных детекторах? Какие меры следует предпринимать для уменьшения искажений?

6. Какова методика измерения детекторной характеристики частотного детектора?

7. Какова методика измерения частотных характеристик частотных детекторов?

8. Каковы принципы моделирования частотных детекторов? В чем заключаются преимущества и недостатки моделирования?

 

 

5. АМПЛИТУДНЫЙ ДЕТЕКТОР

 







Date: 2015-09-24; view: 1072; Нарушение авторских прав



mydocx.ru - 2015-2026 year. (1.248 sec.) Все материалы представленные на сайте исключительно с целью ознакомления читателями и не преследуют коммерческих целей или нарушение авторских прав - Пожаловаться на публикацию