Главная Случайная страница


Полезное:

Как сделать разговор полезным и приятным Как сделать объемную звезду своими руками Как сделать то, что делать не хочется? Как сделать погремушку Как сделать так чтобы женщины сами знакомились с вами Как сделать идею коммерческой Как сделать хорошую растяжку ног? Как сделать наш разум здоровым? Как сделать, чтобы люди обманывали меньше Вопрос 4. Как сделать так, чтобы вас уважали и ценили? Как сделать лучше себе и другим людям Как сделать свидание интересным?


Категории:

АрхитектураАстрономияБиологияГеографияГеологияИнформатикаИскусствоИсторияКулинарияКультураМаркетингМатематикаМедицинаМенеджментОхрана трудаПравоПроизводствоПсихологияРелигияСоциологияСпортТехникаФизикаФилософияХимияЭкологияЭкономикаЭлектроника






Дробный частотный детектор





 

При отсутствии амплитудного ограничения входного колебания u c(t)выходное напряжение частотного детектора с расстроенными избирательными цепями или на основе аналогового перемножителя оказывается зависимым не только от значения φ(t), но и от величины U c. Этого недостатка лишен дробный частотный детектор, или детектор отношений (рис. 4.9).

Cg
R 1
R 2
C н(1)
C н(2)
U =(1)
U =(2)
L св
Lg
U вых
VD 1
VD 2
C 0
L
C
u c(t)
Ug /2
Ug /2
Ug 2
Ug 1
R н
C p

 


Рис. 4.9. Схема дробного детектора

 

Дробный частотный детектор содержит два связанных контура – LC и LgCg, настроенных на среднюю частоту входного сигнала ωс, причем выходной контур LgCg включен по схеме со средней точкой и в обмотках его формируются противофазные напряжения – Ug /2. На резонансной частоте ω0 = ωс контуров LC и LgCg напряжение на втором контуре оказывается сдвинутым по фазе относительно напряжения на первом контуре на угол p/2. Напряжения на диодах VD 1 и VD 2, подключенных к контуру, определяются суммой напряжения с катушки Lg и напряжения U 0 с катушки связи L св и резистора R н. Эти напряжения можно представить в векторной форме (рис. 4.10) как

, . (4.13)

При значении ω0 = ωс фазовый сдвиг между векторами и равняется величине p/2, и в этом случае . При значениях ω0 < ωс имеем . При значениях ω0 > ωс получим следующее неравенство: . Через диоды, работающие как амплитудные детекторы в режиме «сильных» сигналов, будет проходить ток, имеющий форму синусоидальных импульсов, в котором присутствуют переменная и постоянная составляющие. Пути прохождения этих составляющих различны.

Переменная составляющая тока через диод VD 1 проходит по цепи C н(1), R н, L св, L g, а через диод VD 2 – по цепи C н(2), R н, L св, L g. Постоянная составляющая токов диодов VD 1 и VD 2 протекает по одной и той же цепи: VD 1, R 1, R 2, VD 2, Lg, поэтому величина постоянного тока через диоды оказывается одинаковой. Как следует из выражения (4.13) и рис. 4.10, при значении f c = f 0 имеем . учитывая, что постоянный ток через диоды по величине одинаков, углы отсечки тока в обоих диодах также одинаковы (θ1 = θ2).

 

U 0
Ug 1
Ug 2
Ug /2
f c = f 0
Ug /2
U 0
Ug 1
Ug 2
ug /2
f c < f 0
ug /2
U 0
Ug 1
Ug 2
ug /2
f c > f 0
ug /2

 


Рис. 4.10. Векторные диаграммы напряжений на диодах дробного детектора

 

При | Ug 1| ¹ | Ug 2| равенство этих токов может быть обеспечено при соответствующем изменении угла отсечки токов через диоды, а именно при | Ug 2| > | Ug 1| имеем θ1 > θ2. Если | Ug 2| < | Ug 1|, то θ1 < θ2. Следовательно, в дробном детекторе при изменении частоты сигнала изменяются углы отсечки токов диодов.

Выходное напряжение дробного детектора может быть записано в виде

 

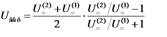
U вых = U =(2) – (U =(1) + U =(2))/2 = (U =(2)U =(1))/2. (4.14)

 

Выражение (4.14) можно переписать в форме

. (4.15)

Выбирая постоянную времени исходя из следующего неравенства: C 0(R 1 + R 2) >> 1/Wmin, где Wmin – минимально возможная частота паразитной амплитудной модуляции, можно обеспечить практически постоянное значение суммы U =(1) + U =(2) в формуле (3.15). В отношении U =(2)/ U =(1) этой же формулы числитель и знаменатель изменяются одинаково при колебаниях амплитуды входного сигнала. Указанные обстоятельства обеспечивают малую чувствительность дробного детектора к изменению величины входного сигнала вследствие паразитной амплитудной модуляции.

 







Date: 2015-09-24; view: 1359; Нарушение авторских прав



mydocx.ru - 2015-2026 year. (1.346 sec.) Все материалы представленные на сайте исключительно с целью ознакомления читателями и не преследуют коммерческих целей или нарушение авторских прав - Пожаловаться на публикацию